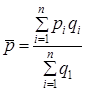
Индексы позволяют анализировать изменения не только агрегатов, но и средних величин. Предположим, изучается динамика средней цены товара на трех рынках города, расположенных в разных районах - центральном и двух периферийных - старой и новой застройки. Уровень цен в этих районах разный, соответственно на среднюю цену продажи на колхозных рынках влияют не только цены на каждом из них, но и доля каждого рынка в общем объеме продажи.
Формула средней цены:

где рi - цена товара на i -м рынке.
- структура продажи.
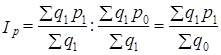
Изменение средней цены (как и любой взвешенной средней) выражается индексом:

Этот индекс получил название индекса переменного состава, так как отражает не только изменение осредняемого признака р, но и структуры совокупности
. На основе индекса средней величины могут быть построены индекс самого осредняемого признака при постоянстве структуры совокупности и индекс структуры:
(10.23)
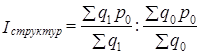
Этот индекс получил название индекса постоянного состава.
Соответственно
(10.24)
Формулы индексов (10.23) и (10.24) основаны на общепринятом правиле, по которому структура совокупности как первичная характеристика при индексации цен закрепляется на уровне отчетного периода, а цены как вторичная характеристика при индексации структуры закрепляются на уровне базисного периода. Очевидно, что применение весов разных периодов и в этом случае обеспечивает выполнение равенства:
|
|
|
или
(10.25)
Конечно, можно все индексы построить на весах базисного периода, и это будет правильнее с точки зрения оценки изменения каждого из факторов, но тогда равенство (10.25) будет нарушено.
Рассмотрим построение этих индексов на примере. На трех рынках города продается картофель. Данные о продаже за день в зарегистрированных ценах приведены в табл. 10.6.
Таблица 10.6