Согласно квантовой гипотезе Планка-Эйнштейна свет частотой n испускается, распространяется и поглощается веществом отдельными порциями (квантами), энергия которых e о= hn (h – постоянная Планка). Эти локализованные в пространстве дискретные световые кванты, движущиеся со скоростью с распространения света в вакууме, получили название фотонов. Таким образом, распространение света можно рассматривать не как непрерывный волновой процесс, а как поток частиц – фотонов. Доказательством этих квантовых (корпускулярных) представлений о свете, как о потоке частиц, являются фотоэффект и эффект Комптона.
Внешним фотоэффектом называется испускание электронов веществом под действием электромагнитного излучения. Явление внешнего фотоэффекта и его закономерности объяснены на основе квантовой теории фотоэффекта, согласно которой каждый квант света поглощается только одним электроном. Поэтому число вырванных фотоэлектронов пропорционально интенсивности света.
Энергия hn падающего на металл фотона расходуется на совершение электроном работы выхода А из металла и на сообщение вылетевшему фотоэлектрону кинетической энергии, то есть по закону сохранения энергии:
|
|
|
(уравнение Эйнштейна для внешнего фотоэффекта).
Из этого уравнения следует, что максимальная кинетическая энергия фотоэлектрона линейно возрастает с увеличением частоты падающего излучения и не зависит от его интенсивности, то есть от числа фотонов. Так как с уменьшением частоты света кинетическая энергия фотоэлектронов уменьшается, то при некоторой частоте n = n 0 кинетическая энергия фотоэлектронов станет равной нулю и в этом случае энергия фотона hn 0 равна работе выхода А, из чего следует, что n 0= А / h (частота n 0 носит название красной границы фотоэффекта). При частоте n<n 0 фотоэффекта не будет.
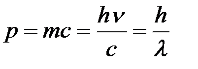
Масса и импульс фотона. Согласно квантовой гипотезе Планка-Эйнштейна, распространение света можно рассматривать как поток частиц – фотонов, энергия которых e 0 =hn. Тогда из уравнения Эйнштейна взаимосвязи массы и энергии E=mc2 следует, что масса фотона:
.
Поскольку фотон движется со скоростью света с, то импульс фотона р:
.
Следовательно, фотон, как и любая другая частица, характеризуется энергией, массой и импульсом. Полученные выражения связывают корпускулярные характеристики фотона – массу, импульс и энергию – с волновой характеристикой света – его частотой n (или длиной волны l).
Корпускулярные свойства света проявляются в эффекте Комптона.
Эффектом Комптона называется увеличение длины волны коротковолнового электромагнитного излучения при его упругом рассеянии на свободных электронах вещества. Опыты Комптона показали, что разность длин волн рассеянного (l') и падающего (l) электромагнитного излучения, то есть величина Dl=l'–l не зависит от длины волны l падающего излучения и природы рассеивающего вещества (РВ), а определяется только углом рассеяния q, то есть углом между направлениями лучей до и после рассеяния (рис. 11):
|
|
|
,
где
– комптоновская длина волны.
(При рассеянии фотона на электроне
= 2,426 пм).
Эффект Комптона не укладывается в рамки волновой теории света, и его объяснение дано на основе квантовых (корпускулярных) представлений о природе света. Если считать, что излучение имеет корпускулярную природу, то есть представляет собой поток фотонов, то эффект Комптона – это результат упругого столкновения рентгеновских фотонов со свободными электронами вещества. В процессе этого столкновения фотон передает электрону часть своих энергии и импульса в соответствии с законами их сохранения, что ведет к уменьшению энергии (или увеличению длины волны) фотона при его соударении с электроном (эффект Комптона).
| PB |
| λ |
| p΄ |
| pe |
| θ |
| p |
| Рис. 11 |
и энергией e = hn, с покоящимся свободным
электроном, было получено следующее выражение для увеличения длины волны фотона при его рассеянии на свободных электронах:
.
(На рисунке 11 введены следующие обозначения: p и p' – импульсы фотона до и после рассеяния; pe – импульс электрона после рассеяния на нем фотона).
Полученное на основе корпускулярных свойств света, выражение для величины D l оказалось аналогично приведенному выше выражению для величины D l, полученному Комптоном экспериментально. Следовательно, эффект Комптона является экспериментальным доказательством проявления корпускулярных свойств света как потока частиц – фотонов.
Единство корпускулярных и волновых свойств света и вещества. С одной стороны, рассмотренные явления фотоэффекта и эффекта Комптона служат доказательством квантовых (корпускулярных) представлений о свете как о потоке фотонов, а, с другой стороны, такие явления, как интерференция, дифракция и поляризация света подтверждают волновую природу света. Свет, обладая одновременно корпускулярными и волновыми свойствами, проявляет так называемый корпускулярно-волновой дуализм.
Развивая представления о двойственной корпускулярно-волновой природе света, Луи де Бройль выдвинул гипотезу об универсальности корпускулярно-волнового дуализма. Де Бройль утверждал, что не только фотоны, но и электроны и любые другие частицы материи наряду с корпускулярными обладают также и волновыми свойствами.
Cогласно гипотезе де Бройля с каждым микрообъектом связываются, с одной стороны, корпускулярные характеристики, такие как энергия e и импульс p, а с другой стороны – волновые характеристики, такие как частота n и длина волны l. Количественные соотношения, связывающие корпускулярные и волновые свойства частиц, такие же, как и для фотонов:
,
.
Согласно гипотезе де Бройля любой частице, обладающей импульсом p, ставится в соответствие волновой процесс с длиной волны, определяемойпо формуле де Бройля:
.
Тема 7. Тепловое излучение
Излучение света телами, обусловленное их нагреванием, называется тепловым (температурным) излучением. Количественной характеристикой теплового излучения служит спектральная плотность энергетической светимости (излучательности) тела – мощность излучения с единицы площади поверхности тела в интервале частот единичной ширины:
,
где
– энергия электромагнитного излучения, испускаемого за единицу времени (мощность излучения) с единицы площади поверхности тела в интервале частот от n до n + d n.
|
|
|
Спектральную плотность энергетической светимости можно представить в виде функции длины волны l, то есть в виде Rl,T, причем:
.
С помощью этой формулы можно перейти от Rn,T к Rl,T и наоборот.
Зная спектральную плотность энергетической светимости, можно вычислить интегральную энергетическую светимость RT:
.
Способность тел поглощать падающее на них излучение характеризуется спектральной поглощательной способностью Аn,T:
,
показывающей, какая доля энергии, приносимой за единицу времени на единицу площади поверхности тела падающими на нее электромагнитными волнами с частотами от n до n + d n, поглощается телом.
Тело, способное поглощать полностью при любой температуре всё падающее на него излучение любой частоты, называется черным телом. Следовательно, спектральная поглощательная способность черного тела для всех частот и температур тождественно равна единице (
).
Наряду с понятием черного тела используют понятие серого тела – тела, поглощательная способность которого меньше единицы, но одинакова для всех частот, то есть
.
Закон Кирхгофа. Кирхгоф установил количественную связь между спектральной плотностью энергетической светимости Rn,T и спектральной поглощательной способностью Аn,T тел. Отношение спектральной плотности энергетической светимости к спектральной поглощательной способности не зависит от природы тела; оно является для всех тел универсальной функцией rn,T частоты n (или длины волны l) и температуры Т (закон Кирхгофа):
.
Для черного тела
, поэтому из закона Кирхгофа вытекает, что универсальная функция Кирхгофа rn,T – это спектральная плотность энергетической светимости Rn,T черного тела.
Используя закон Кирхгофа, выражение для интегральной энергетической светимости черного тела Re можно записать в виде:
.
Энергетическая светимость черного тела Re зависит только от температуры.
Закон Стефана – Больцмана. Согласно закону Стефана – Больцмана энергетическая светимость черного тела Re зависит от температуры Т следующим образом:
, где s – постоянная Стефана – Больцмана.
|
|
|
Закон смещения Вина. Из экспериментальных кривых зависимости функции rl,T от длины волны l при различных температурах (рис. 12) следует, что распределение энергии в спектре черного тела является неравномерным. Все кривые имеют выраженный максимум, который по мере повышения температуры смещается в сторону более коротких волн.
Согласно закону смещения Вина зависимость длины волны lmax, соответствующей максимуму функции rl,T, от температуры Т имеет следующий вид:
,
то есть длина волны lmax, соответствующая максимальному значению спектральной плотности энергетической светимости rl,T черного тела, обратно пропорциональна его температуре Т (b - постоянная Вина). Это выражение называют законом смещения Вина, так как оно показывает смещение положения максимума функции rl,T в область коротких длин волн по мере возрастания температуры Т.
Тема 8. Квантовая физика атома. Постулаты Бора
Первый постулат Бора (постулат стационарных состояний): в атоме существуют стационарные (не изменяющиеся со временем) состояния, находясь в которых атом не излучает энергии. Стационарным состояниям атома соответствуют стационарные орбиты, на которых находятся электроны.
В стационарном состоянии атома для электрона, находящегося на круговой орбите, значения момента импульса могут принимать только определенный набор дискретных квантованных значений, удовлетворяющих условию:
(n = 1, 2, 3, …), где
me –масса электрона, υn – скорость электрона на n -ой орбите радиуса rn,
n – номер орбиты,
ħ =
(h – постоянная Планка).
Радиус n -ой орбиты для атома водорода:
,
где e – заряд электрона, ε o – электрическая постоянная,
а – радиус первой орбиты (n = 1), называемый первым боровским радиусом, который равен:
.
Второй постулат Бора (правило частот): при переходе электрона с одной стационарной орбиты на другую излучается (или поглощается) один фотон с энергией hν, равной разности энергий соответствующих стационарных состояний En и Еm:
.
При переходе атома из состояния большей энергии в состояние меньшей энергии, то есть при переходе электрона на менее удаленную от ядра орбиту, происходит излучение фотона, а при поглощении фотона происходит переход атома из состояния меньшей энергии в состояние большей энергии, что соответствует переходу электрона на более удаленную орбиту.
Дискретность набора значений энергии стационарных состояний En и Еm предопределяет дискретность набора возможных частот ν квантовых переходов между этими состояниями, что обусловливает линейчатость спектра атома.
По теории Бора полная энергия электрона на n -ой орбите атома водорода:
(n = 1, 2, 3, …),
Из приведенной формулы следует, что энергетические состояния атома водорода образуют последовательность энергетических уровней, изменяющихся в зависимости от значения числа n, которое называется главным квантовым числом.
Энергетическое состояние с n = 1 является основным состоянием, а состояния с n >1 являются возбужденными.
Спектр испускания атома водорода.
Согласно второму постулату Бора, при переходе атома водорода из состояния n в состояние т с меньшей энергией испускается фотон с энергией hν:
,
откуда частота ν квантового перехода в спектре испускания атома водорода:
,
где R – постоянная Ридберга (
),
Числа m (m = 1, 2, 3 …) и n (n = m + 1, m + 2, m + 3, …) определяют номера электронных орбит в атоме, между которыми происходит квантовый переход.
Приведенная формула описывает серии линий в спектре испускания атома водорода (рис. 13), где m определяет серию (m = 1, 2, 3…), а n определяет отдельные линии соответствующей серии (n = m + 1, m + 2, m + 3, …).

В ультрафиолетовой области спектра атома водорода наблюдается
серия Лаймана (m = 1):
(n = 2, 3, 4, …).
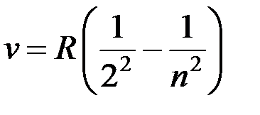
В видимой области спектра атома водорода наблюдается
серия Бальмера (m = 2):
(n = 3, 4, 5, …).
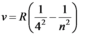
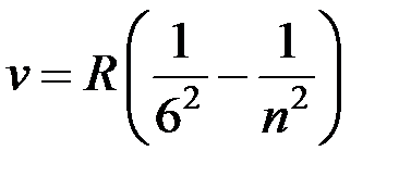
В инфракрасной области спектра атома водорода наблюдаются
серия Пашена (m = 3):
(n = 4, 5, 6, …);
серия Брэкета (m = 4):
(n = 5, 6, 7, …);
серия Пфунда (m = 5):
(n = 6, 7, 8, …);
серия Хэмфри (m = 6):
(n = 7, 8, 9, …).
Квантовые числа и правила отбора. Состояние электрона в атоме водорода определяется набором квантовых чисел: n, l, ml.
n – главное квантовое число, определяющее энергетические уровниэлектрона в атоме и принимающее целочисленные значения начиная от единицы:
n = 1, 2, 3, ….
l – орбитальное квантовое число, определяющее момент импульса электрона в атоме и для заданного главного квантового числа n принимающее следующие значения: l = 0, 1, …, (n – 1), то есть всего n значений.
тl – магнитное квантовое число, определяющеепроекцию момента импульса электрона на заданное направление и при заданном орбитальном квантовом числе l принимающее следующие значения:
тl = 0, ±1, ±2, …, ± l,
то есть всего (2 l +1) значений, причем вектор момента импульса электрона в атоме может иметь в пространстве (2 l + 1) ориентацию.
Если орбитальное квантовыми число l = 0, то состояние электрона называют s -состоянием, для l = 1 – p -состоянием, для l = 2 – d -состоянием, для l = 3 – f -состоянием и т. д. Значение главного квантового числа указывается перед условным обозначением орбитального квантового числа. Например, электроны в состояниях (n = 2, l = 0) и (n = 2, l = 1) обозначаются соответственно символами 2 s и 2 р.
Число возможных переходов электронов, связанных с испусканием или поглощением света, ограничено, так называемыми, правилами отбора.
Теоретически доказано и экспериментально подтверждено, что могут осуществляться только такие переходы, для которых:
1) изменение орбитального квантового числа D l удовлетворяет условию:
∆ l = ±1;
2) изменение магнитного квантового числа D ml удовлетворяет условию:
∆ ml = 0, ±1.
Учитывая число возможных состояний, соответствующих данному значению главного квантового числа n и правила отбора, спектральные линии атома водорода (рис. 14) в серии Лаймана соответствуют переходам:
np → 1 s (n = 2, 3, …);
в серии Бальмера – переходам:
np → 2 s, ns → 2 p, nd → 2 p (n = 3, 4,…) и т. д.
| Рис. 14 |
(n = 2, 3,...), что отражается в эксперименте.
|
|
| S |
| α |
|






