Пример 1. Медианы
,
и
треугольника
пересекаются в точке
. Известно, что
.
а) Докажите, что треугольник
прямоугольный.
б) Найдите сумму квадратов медиан
и
, если известно, что
.
Ответ: 125.

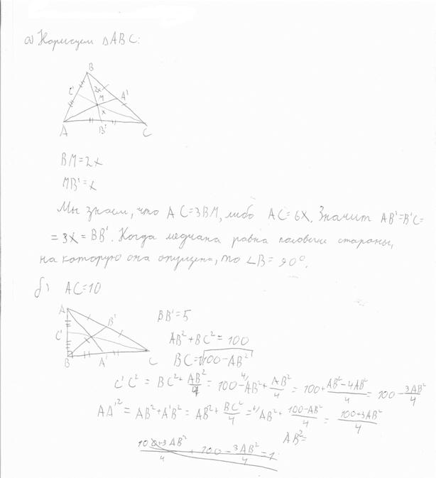
Пример 1. Медианы
,
и
треугольника
пересекаются в точке
. Известно, что
.
а) Докажите, что треугольник
прямоугольный.
б) Найдите сумму квадратов медиан
и
, если известно, что
.
Ответ: 125.

|
|