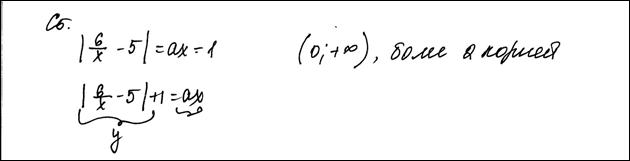
Пример 5. Найдите все значения
, при каждом из которых уравнение

на промежутке
имеет более двух корней.
Ответ:
.


Оценка эксперта: _______
Пример 6. Условие, ответ и критерии см. предыдущий пример.


Оценка эксперта: _______
Пример 5. Найдите все значения
, при каждом из которых уравнение

на промежутке
имеет более двух корней.
Ответ:
.


Оценка эксперта: _______
Пример 6. Условие, ответ и критерии см. предыдущий пример.


Оценка эксперта: _______
|
|