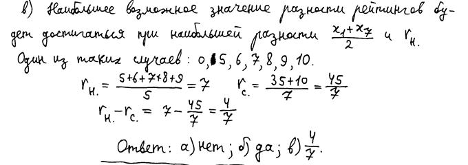
Условие и ответ, см. задача 1 21_1_3

А почему 1 балл в оригинале? 3 балла. Зачем-то из нового рейтинга вычитается старый, но это следствие некоторой некорректности условия. ПВС.
| Содержание критерия, задача №1 | Баллы |
| Верно получены все перечисленные (см. критерий на 1 балл) результаты | |
| Верно получены три из перечисленных (см. критерий на 1 балл) результатов | |
| Верно получены два из перечисленных (см. критерий на 1 балл) результатов | |
| Верно получен один из следующих результатов: — обоснованное решение п. а; — пример в п. б; — искомая оценка в п. в; — пример в п. в, обеспечивающий точность предыдущей оценки | |
| Решение не соответствует ни одному из критериев, перечисленных выше | |
| Максимальный балл |
Оценка эксперта: ___________






