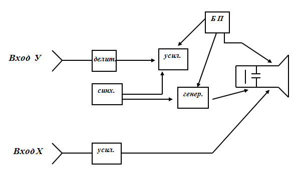
Измерительный прибор для визуального наблюдения и регистрации в электрические сигналы, особенно в быстро протекающих процессах. Осциллограф состоит из электрических блоков:
1. электронно-лучевая трубка;
2. блок - питания;
3.
входное устройство (делитель, ослабитель, антенноатор) - устройства, которые ослабевают входной сигнал на усилитель, тоесть с помощью делителя можно измерить большие напряжения;
4. усилители входных сигналов по X и Y;
5. блок развёртки «разворачивает» точку, (кривую, прямую) для наблюдения за процессами, изменяя частоту: грубо, плавно;
6. блок синхронизации (для устойчивого неподвижного изображения на экране) - синхронизация осуществляется тремя способами:
- внутренний;
- внешний;
- от сети.
Для управления электронно - лучевой трубкой предусм-отрены следующие регуля-торы: якорь, фокус, отклонение луча вверх, вниз, вправо, влево. Применяют осцелограф с мультимитра-ми.
Некоторые дают возможную величину напряжения частотой (период). Измерение величин выводится в виде цифры. Вместо электронно-лучевой трубки в некоторых осцелогрофах применяется жидкокристал-лические индикаторы.






