Решим следующую комбинаторную задачу.
Сколькими способами можно упорядочить
-множество
?
Перестановками без повторений называют различные упорядоченные
-множества, которые состоят из одних и тех же элементов, а отличаются друг от друга лишь порядком. Число таких перестановок обозначают
(от французского слова permutation – перестановка).
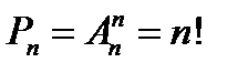
Формулу для
получаем из выражения (2) при
:
. (3)
Пример 3. Сколькими способами можно посадить на скамейку 9 человек?
Ответ:
=9!=362880.
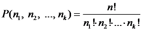
К перестановкам с повторениями приводит следующая задача.
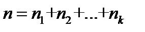
Имеется
-множество
, состоящее из
различных элементов (
). Сколько перестановок можно сделать из
элементов первого типа,
элементов второго типа,…,
элементов
-го типа?
Перестановки элементов каждого типа можно делать независимо друг от друга. Поэтому по правилу произведения элементы множества можно переставлять друг с другом
способами так, что перестановки не изменятся. Тогда число различных перестановок с повторениями буде равно
, (4)
где
.
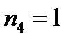
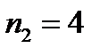
Пример 4. Сколько перестановок можно сделать из букв слова «Миссисипи»?
В данном случае
,
(«М»),
(«и»),
(«с»),
(«п»). По формуле (4)
.






