В тех случаях, когда не имеет значения порядок элементов в подмножестве некоторого множества, а лишь его состав, говорят о сочетаниях. К сочетаниям без повторений приводит следующая задача комбинаторики.
Сколько
-элементных подмножеств с различными элементами можно составить из элементов
-множества
?
Такие подмножества называют сочетаниями без повторений из
элементов по
или короче
-сочетаниями, а их число обозначают
(от французского слова combinaison – сочетание). Другими словами, сочетаниями без повторений называется неупорядоченная
-выборка, в которой элементы не повторяются.
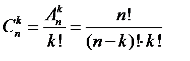
Формулу для числа сочетаний легко получить из формулы (2) для числа размещений. Выберем какое-нибудь
-элементное подмножество
. Его можно упорядочить
способами, а число таких подмножеств есть
. Тогда справедлива формула
, (5)
откуда
. (6)
Пример 5. Сколько всего партий играется в шахматном турнире с
участниками?
Ответ:
, так как каждая партия однозначно определяется двумя ее участниками.
Пусть множество
состоит из элементов
различных типов:
. Множество
, составленное из
, в котором элементы могут повторяться, называется мультимножеством. Для задания мультимножества надо указать число вхождений в него каждого элемента:
|
|
|
,
где
– мощность мультимножества.
Число мультимножеств мощности
, составленных из элементов
-множества
, называют сочетаниями с повторениями и обозначают
. Другими словами, сочетаниями с повторениями называется неупорядоченная
-выборка, в которой элементы могут повторяться.
. (7)
Пример 6. В кондитерском магазине продавались 4 сорта пирожных: наполеоны, эклеры, песочные и слоеные. Сколькими способами можно купить 7 пирожных?
Решение. Мощность мультимножества
, число различных элементов
. Число способов покупки пирожных равно
.






