Орташа мəндерді бірдей болып келген екі жиынтықтың берілген мəліметтерінің бір бас
жиынтыққа тиістілігін бағалау үшін Вилкоксонның параметрлік емес критерийі
қолданылады. Вилкоксон критерийі рангты критерийіне жатады, сондықтан оны қолдану
үшін зерттеліп отырған айналымының үлестірім заңын білуді қажет етпейді.
Вилкоксон критерийі статистикасы (ранг бойынша)x жəне y екі жиынтығын да өсу
түрінде жалпы тізбекке реттегеннен кейін есептеледі.
Егер бақыланған мəн w төменгі күдікті мəннен үлкен, бірақ жоғарға күдікті мəннен
Кіші
болса, онда екі жиынтықтың бір тектілігі туралы
гипотеза бекерге шығаралмайды. Төменгі тек мəн
кесте арқылы табылады,ал
жоғарға күдікті мəн мынадай формуламен есептеледі


күдікті мəндерін есептеу үшін
қалыпты үлестірім заңы қолданылады.
Вилкоксон критерийінің Маин- Уитни (u-статистикасы) санына негізделген. Егер ек i (x
|
|
|
жəне y) салыстырылып отырған қатарларды өсу ретімен жалпы бір жиынтыққа
орналастырылғаннан кейін, қатарға қандайда x мəнінің алдында бір немесе бірнеше y мəні
келеді, бұл қос мəндер инверсияны көрсетеді. Бақылаған инверсия мəні күдікті мəнді табу үшін қолданады.
Белгілер критерийі. Берілген екі қатардың x жəне y сəйкес мəндерінің айырмашылығын
еске алуға негізделген. Ноль гипотезасы бойынша x жəне y тің мəндері бір үлестірім
заңына бағынған.
Нольдің бойында симметриялы үлестірілген,яғни
белгілердің оң жəне теріс ауытқуы бірықтималды. Нольге тең айырмалар қаралмайды.
Сонымен, x жəне y қатарларын салыстырып айырманың белгісін табу қажет жəне «плюс»
пен «минус». Белгілерінің санын есептеу керек. Ең кіші санды күдікті санмен салыстырып гипотеза тексеріледі.
51. Гидрологиялық қатарларды тегістеу әдістері.
Гидрологиялық қатарлардың бақыланған мəндерінің кездейсоқ қателіктері олардың
уақыт бойынша өзгеру заңдылығының көрініс беруін қиындатады. Кездейсоқ
тербелістердің əсерін жою үшін əртүрлі сүзу жəне теістеу əдістері қолданып келеді.
Қатарларды графиктік (яғни, бақылау деректерін графикке енгізіп, нүктелер арқылы, көз
мөлшермен, бір қалыпты қисық жүргізу) немесе математикалық түрде қалпына келтіруге
болады. Қалпына келтірудің графиктік түрі субъектілігіне байланысты толықтай
|
|
|
қанағаттандырмайды.
Қалпына келтірудің математикалық əдістерінің ішінде жылжымалы орташа мəн
əдісі кеңінен таралған. Бұл əдіс бойынша тегістеу кезінде, қатардың нақты мəндері
тегістелу кезеңінің орталық нүктесін сипаттайтын орташа мəндермен алмастырылады.
Мұндай тегістелу мына өрнек бойынша жүзеге асырылады:

мұндағы Qi – жылдық ағындының тегістелінген тербелістері, Qi – жылдық ағынды
(i=1, 2,...n), n – қатар мүшелерінің саны, l – орташалау аралығы.
Тегістелі кезеңі неғұрлым көп болған сайын, соғұрлым жоғары жиілікті (қысқа
мерзімді) тербелістер амплитудасы азаяды, демек, төменгі жиілікті тербелістер біршама
жақсы көрініс беруі мүмкін. Бұл тəсілді қолдану барысында ағынды тербелістері біршама
тегістелгендіктен зерттеліп отырған қатардың көпжылдық тербеліс бағытын айқындауға
болады. Дегенмен, (7.13) өрнегі бойынша тегістеу кезінде бастапқы Qi қатармен
салыстырғанда, Q орташаланған тербелістер фазасының ығысуы байқалады. Сонымен
қатар, ағынды өзгергіштігі кіші болған сайын, түрлі циклдар аз болып, оларды бөліп
көрсету қиынға соғады.
Циклдарды айырымдық интеграл қисықтары арқылы бөліп көрсету біршама
жеңілірек. Ол орташа мəннен модульдік коэффициенттердің ауытқуларын жиынтықтау
арқылы тұрғызылады, яғни оның ординатасы
ретінде есептеледі.
Қисық ординаталары əрбір і- жыл соңына жылдық модульдік коэффициентердің К
орташа мəннен ауытқуының үдемелі жиынтығын береді.
Əртүрлі өзендердің көпжылдық ағынды тербелістерін салыстыру үшін, ағындыға
əсерін тигізетін уақытша себептер ескерілмеуі керек.
Бұл екі əдісті де аса сақтықпен пайдаланған жөн, себебі бастапқы мəліметтерді
түрлендіру, бір жағынан, кездейсоқ шамалартізбегіндегі жалған циклдың пайда болуына
əкеп соқтырса, екінші жағынан, бастапқы қатарға тəн циклдылықты бұрмалауы мүмкін
/39/. Бастапқы корреляцияланбаған тізбекке қарағанда, бастапқы корреляциялық тізбек
үшін жылжымалы орташа мəн мен интегралдық- айырымдық түрлендіру ұзақ сериялардың
қайталануын көбейтеді. Нəтижелерді абайламай пайдалану «ғасырлық циклдар»,
«ғасырішілік циклдар» деп аталатын ұзын толқындар жайлы жалған қорытынды шығаруға
итермелейді /39/. Бастапқы процеске қатысты тегістелген қисықтың фазалық ығысуын болдырмау үшін, қазіргі уақытта тегістеудің басқа да тəсілдері ұсынылуда. Мұндай тəсілдер қатарына қатар мүшелерін тізбектей отырып, жұптап орташалау тəсілі жатады. Бұл тəсіл кезінде үлестік коэффициенттер орталық орташа мəннен симметриялы кему ретімен орналасып, биномдық коэффициенттер арқылы көрініс береді.






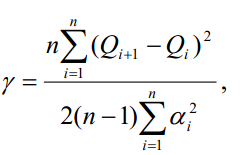
Өрнек бойынша жылдық ағынды қатарларын тегістеу кезінде орташалаудың К деп
аталатын сатысы қолданылады, мұндай орташалау кезінде тегістелген шамаларға αi = Q
i – Qi қарағанда, əр жылдың жылдық ағындысының ауытқуы уақытқа қатысты байланыссыз
екендігі байқалады. Қатарлардың байланыссыздығы αi төмендегі теңдік арқылы көрініс
береді

Жылдық ағындының динамикалық орташа мəннен ауытқуы αi – бұл уақытқа
қатысты қандайда бір заңдылықтарға бағынбайтын кездейсоқ, байланыссыз, қалыпты
|
|
|
үлестірілген шамалар. Қарқындылығы мен тегістелген тербелістердің фазалық ығысуы тегістеуші немесе фильтрлеуші функцияның жиілікті сипаттамасы арқылы алдын - ала бағалануы мүмкін. Ол /39, 41/ жұмыстарына сəйкес мынадай түрге ие болады:

мұндағы R(f) – сүзгінің жиілікті сипаттамасы; f – жиілік; βk– k үлесі; βo– орталық
үлестік коэффициент; k – орталық үлестік коэффициенттен басталатын сан.
52. Кездейсоқ криттерийі
Кездейсоқ шама, кездейсоқ процесстер.
өзен ағындары кездейсоқ шама болып қаралады, сондықтан кездейсоқ шамалардың
өзгеру заңдылығын білу қажет. Ол заңды үлестірім қисығы арқылы көрсету болады.
Кездейсоқ шаманың үлестірімі деп кездейсоқ шамамен оған сəйкес ықтималды көрсететін
қайнарын айтады, математикалық статистика үлестірім заның қысқаша бейнелеу үшін
бірнеше параметрлер қолданылады. Мұндай параметр математикалық күтім (орташа
мəні), орта квадраттық ауытқуы (еарнация коэффициенту), жəне ассимметрия
коэффициенті болып аталады. Осындай сандық параметрлерді байқалған мəліметтер
арқылы табу үшін əртүрлі формулалар қолданылады.






