Согласно строке 1 таблицы 4.5 скорость υа = ____ м/с, а установленная заводом – изготовителем максимальная скорость автомобиля___________
υmax =____км/ч = ______м/с. Поэтому принимаем υmax =____ м/с.
Согласно определению ГОСТ Р 51709-2001 «установившееся замедление – среднее значение замедления за время торможения τуст от момента окончания периода времени нарастания замедления до конца торможения». Поэтому максимально возможное среднее замедление jср, подобное jуст, определяем графоаналитически:
1. Выделяем на верхнем среднем поле и в таблице 4.3 скоростной интервал 0 – υmax, складываем n табличных значений φυс, делим эту сумму на n, определяем среднее табличное значение φср, m = _______ и уточняем его графическим методом определения средней ординаты: увеличиваем количество ординат до 2n, определяем их суммарную длину L2n, делим ее на 2n и по средней длине lcp = L2n /2n и масштабу определяем уточненное (графическое) значение φср = ______.
2. По формуле (4.55) при φх = φср и Кэ = 1 определяем среднее замедление jср = ___________м/с2, отмечаем его значение на шкале jхт левого поля тягово-тормозного паспорта и пунктирными линиями строим график jср = f(υт), ограничив его вертикальную линию временем торможения
|
|
|
(5.19)
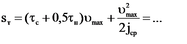
Определяем расчетом тормозной путь
, (5.20)
на среднем верхнем поле отмечаем его точкой в масштабе шкал τ и sт, сравниваем полученные результаты с временем и путем ступенчато-импульсного торможения.






