Взаимосвязь индекса цен, индекса количества продукции (физического объема) и стоимости продукции:
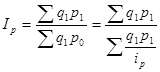
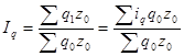
Индекс цен: 
Индекс количества продукции: 
Индекс стоимости продукции: 
Взаимосвязь (система индексов): 

Абсолютное изменение стоимости продукции:
,
в том числе:
а) за счет изменения цен: 
б) за счет изменения количества продукции (физического объема):

Взаимосвязь:
.
Взаимосвязь индекса себестоимости, индекса количества продукции (физического объема) и затрат на продукцию:
Индекс себестоимости: 
Индекс количества продукции: 
Индекс затрат: 
Взаимосвязь (система индексов): 

Абсолютное изменение затрат на продукцию:
,
в том числе:
а) за счет изменения себестоимости: 
б) за счет изменения количества продукции (физического объема):

Взаимосвязь:
.
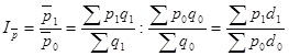
Система взаимосвязанных индексов для анализа влияния факторов на динамику средних показателей (на примере индексов цен):
Индекс цен переменного состава: 
Индекс цен постоянного состава: 
Индекс структурных сдвигов: 
Взаимосвязь индексов: 

В статистической практике часто возникает потребность в сопоставлении уровней экономического явления в пространстве: по странам, экономическим регионам, областям, т.е. в исчислении территориальных индексов.
Территориальные индексы – это разновидность относительных величин сравнения, в которых сопоставляются сложные показатели, относящиеся к одному и тому же периоду времени, но к разным территориям (городам, регионам, областям, государствам). На основе территориальных индексов выполняются территориальные сопоставления.
Построение территориальных индексов усложняется, когда возникает необходимость пространственных сравнений по сложным совокупностям, содержащим определенный набор компонентов. В частности, при построении территориальных индексов в агрегатной форме возникает вопрос о том, какие данные следует в этих индексах принимать в качестве весов (соизмерителей).
В территориальных индексах индексируемой величиной может быть объемный показатель и качественный. Для качественных показателей территориальные индексы могут рассчитываться как индексы переменного и фиксированного состава.






