Балансовый метод – изучает балансовые связи и заключается в построении балансовых таблиц (характеризует структуру совокупности, позволяет определить искомые показатели из балансовой зависимости, группировать единицы совокупности по различным признакам и т.д.).
Индексный метод – изучает компонентные связи с помощью построения систем взаимосвязанных индексов.
Метод группировок – изучает факторные связи (заключается в разделении всей совокупности на группы по факторному признаку; позволяет выявить наличие связи и ее направление).
Корреляционно-регрессионный метод – изучает факторные (корреляционные) связи.
Регрессионный анализ заключается в определении аналитического выражения связи, т.е. подборе такой формы функциональной связи, которая в наибольшей степени соответствует сущности обнаруженной корреляционной зависимости.
Корреляционный анализ позволяет определить тесноту связи, т.е. с помощью специальных показателей измерить, в какой мере корреляционная связь приближается по своей силе к связи функциональной.
Корреляция – это статистическая зависимость между случайными величинами, не имеющими строго функционального характера, при которой изменение одной из случайных величин приводит к изменению математического ожидания другой.
Уравнением регрессии называют теоретическую линию связи, а ее построение, анализ и практическое применение – регрессионным анализом. Форму связи определяют прежде всего качественным анализом содержания рассматриваемой зависимости. При построении однофакторной модели известную помощь может оказать рассмотрение графика эмпирической линии регрессии, дающего зрительное представление о направленности и характере связи.
В зависимости от характера изменения результативного признака (у) с изменением факторного признака (х) связи могут быть линейными и нелинейными.
Уравнение линейной связи: 
Нелинейные зависимости:
- парабола 2-го порядка 
- парабола 3-го порядка 
- гипербола 
и т. д.
Выбор теоретической формы связи всегда связан с некоторой условностью, вызванной тем, что нужно находить форму функциональной зависимости, в то время как на самом деле зависимость лишь в той или иной степени приближается к функциональной. Но если зависимость довольно высокая (приближена к функциональной), то теоретическая форма связи и ее параметры приобретают большое практическое значение в анализе.
Параметры уравнения регрессии определяют методом наименьших квадратов (МНК), при котором 
Методы измерения тесноты связи разделяются на:
- параметрические
- непараметрические.
Параметрические методы используются в тех случаях, когда все изучаемые признаки являются количественными. Использование этих методов основано на расчете основных параметров распределения (средних показателей, дисперсий).
Непараметрические методы используются для измерения связи между качественными признаками, по которым невозможно рассчитать параметры распределения.
К параметрическим методам измерения тесноты связи относят:
1) Методы сравнения параллельных рядов (основаны на расчетах коэффициента Фехнера и коэффициента корреляции рангов Спирмена);
2) Дисперсионный анализ – используется при небольшом числе наблюдений и проводится путем расчета дисперсий: общей (дисперсия комплекса), межгрупповой (факторная дисперсия) и групповой (остаточная дисперсия);
3) Методы однофакторного корреляционного анализа – позволяют с большой точностью определить тесноту связи между факторным признаком (х) и результативным признаком (у) с помощью ряда показателей, расчет которых основан на построении уравнения регрессии или проводится одновременно с регрессионным анализом.
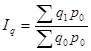
Индекс корреляции (теоретическое корреляционное отношение):
, где
;
.
Индекс корреляции изменяется в пределах: 0 £ R £ 1.
Если R = 0, то связь между вариацией признаков у и х отсутствует.
Если R = 1, то связь между признаками у и х полная, функциональная.
Линейный коэффициент корреляции – частный случай общего индекса корреляции, применение которого ограничено только линейной формой связи.
Линейный коэффициент корреляции построен на сопоставлении стандартизованных отклонений варьирующих признаков от их среднего значения.
Исходная формула линейного коэффициента корреляции:
,
где sx и sy – средние квадратические отклонения – соответственно х от
и у от
.
Эмпирическое корреляционное отношение – используется для измерения тесноты связи при разделении совокупности на группы (в основном при нелинейной зависимости):
,
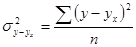
где d2 – межгрупповая дисперсия результативного признака;
σ2 – общая дисперсия результативного признака.
Эмпирическое корреляционное отношение изменяется в пределах: 0 £ h £ 1.
При h = 0 связь отсутствует, при h = 1 связь функциональная.
4) Методы многофакторного корреляционного анализа – позволяют определить тесноту связи между изучаемым показателем и факторами.
Парные коэффициенты корреляции – применяются для измерения тесноты связи между двумя из рассматриваемых переменных (без учета их взаимодействия с другими переменными).
Методика расчета таких коэффициентов и их интерпретация аналогичны линейному коэффициенту корреляции (r) в случае однофакторной связи.
Частные коэффициенты корреляции – характеризуют степень влияния одного из аргументов на функцию при условии, что остальные независимые переменные зафиксированы на постоянном уровне.
Непараметрические методы измерения тесноты связи основаны на расчете следующих показателей:
Коэффициент взаимной сопряженности А.А. Чупрова – наиболее общий показатель тесноты связи, применяется для измерения связи двух атрибутивных признаков, когда это изменение образует несколько (3 и более) групп:
,
где φ2 – показатель взаимной сопряженности;
m – число групп по каждому признаку.
Коэффициент взаимной сопряженности Пирсона – применяется для измерения тесноты связи и его использование возможно, когда каждый из качественных признаков состоит более чем из двух групп:

Коэффициенты ассоциации и контингенции – применяются для измерения тесноты связи двух качественных признаков, каждый из которых состоит только из двух групп.
Коэффициент контингенции всегда меньше коэффициента ассоциации. Связь считается подтвержденной, если А ³ 0,5 или К ³ 0,3.
Тема 1.10. Ряды динамики и их применение в анализе
социально-экономических явлений
Рядами динамики называют ряды последовательно расположенных в хронологическом порядке показателей, которые характеризуют развитие явления во времени.
Данный статистический способ представления данных позволяет изучить явление с точки зрения его непрерывного развития (динамики). Исследование рядов динамики дает возможность охарактеризовать процесс развития явлений, показать основные пути, тенденции и темпы этого развития.
В каждом ряду динамики имеются два основных элемента:
1) показатель времени – t;
2) соответствующие им уровни развития изучаемого явления – у.
С помощью рядов динамики изучение закономерностей развития социально-экономических явлений осуществляется в следующих основных направлениях:
1. характеристика уровней развития изучаемых явлений во времени;
2. измерение динамики изучаемых явлений посредством системы статистических показателей;
3. выявление и количественная оценка основной тенденции развития (тренда);
4. изучение периодических колебаний;
5. экстраполяция и прогнозирование.
Основным условием для получения правильных выводов при анализе рядов динамики является сопоставимость его элементов.
Для количественной оценки динамики социально-экономических явлений применяются статистические показатели, в основе расчета которых лежит сравнение его уровней:
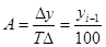
1) Абсолютный прирост – определяется как разность двух уровней ряда динамики в единицах измерения исходной информации.
Базисный абсолютный прирост исчисляется как разность между сравниваемым уровнем (yi) и уровнем, принятым за постоянную базу сравнения (y0):
.
Цепной абсолютный прирост – разность между сравниваемым уровнем (yi), и уровнем, который ему предшествует (yi-1):
.
2) Темп роста – характеризует отношение двух уровней ряда и может выражаться в виде коэффициента или в процентах.
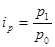
Базисные темпы роста исчисляются делением сравниваемого уровня на уровень, принятый за постоянную базу сравнения:
.
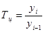
Цепные темпы роста исчисляются делением сравниваемого уровня на предыдущий уровень:
.
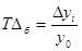
3) Темпы прироста – характеризуют абсолютный прирост в относительных величинах. Исчисленный в процентах темп прироста показывает, на сколько процентов изменился сравниваемый уровень с уровнем, принятым за базу сравнения.
Базисный темп прироста вычисляется делением сравниваемого базисного абсолютного прироста на уровень, принятый за постоянную базу сравнения:
.
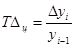
Цепной темп прироста – это отношение сравниваемого цепного абсолютного прироста к предыдущему уровню:
.
4) Абсолютное значение одного процента прироста равно отношению абсолютного прироста (цепного) к темпу прироста (цепному), выраженному в процентах:
.
Для получения обобщающих показателей динамики социально-экономических явлений определяются средние величины: средний уровень, средний абсолютный прирост, средний темп роста и прироста и др.
Важным направлением в исследовании закономерностей динамики социально-экономических процессов является изучение общей тенденции развития, для чего применяются специальные методы анализа рядов динамики. Конкретное их использование зависит от характера исходной информации и предопределяется задачами анализа.
На практике наиболее распространенными методами выявления основной тенденции динамики являются:
- метод укрупнения интервалов;
- метод аналитического выравнивания.
Метод укрупнения интервалов применяется для выявления основной тенденции развития в рядах динамики колеблющихся уровней, скрывающих основное направление развития.
Метод скользящей средней применяется для сглаживания рядов динамики и заключается в определении по исходным данным теоретических средних уровней, в которых случайные колебания погашаются, а основная тенденция развития выражается в виде некоторой плавной линии.
Метод аналитического выравнивания заключается в нахождении плавной линии развития явления (тренда), характеризующей основную тенденцию его динамики.
Таким образом, основная тенденция развития уt рассчитывается как функция времени:
.
Определение теоретических (расчетных) уровней уt производится на основе адекватной математической функции, которая наилучшим образом отображает тенденцию ряда динамики.
Для отображения основной тенденции развития явлений во времени применяются полиномы разной степени, экспоненты, логистические кривые и другие функции.
Полиномы имеют следующий вид:
1-й степени –
;
2-й степени –
;
3-й степени –
;
n-й степени –
,
где a0, a1, a2, …, an – параметры полиномов;
t – условное обозначение времени.
Подбор адекватной математической функции, отражающей развитие явления, проводится на основе качественного анализа данного явления и может быть осуществлен с помощью графического метода (типовые графики функций) или аналитического метода (по эталонным типам развития явления).
После установления типа тренда необходимо вычислить оптимальные значения параметров тренда исходя из фактических уровней. Для этого используют метод наименьших квадратов (МНК), суть которого состоит в минимизации суммы квадратов отклонений фактических уровней ряда от выровненных уровней (от тренда):
.
Для каждого типа тренда МНК дает систему нормальных уравнений, решив которую вычисляют параметры тренда.
Исследование динамики социально-экономических явлений, выявление и характеристика основной тенденции развития дают основание для прогнозирования – определения будущих размеров уровня экономического явления. Важное место в системе методов прогнозирования занимают статистические методы. Применение прогнозирования предполагает, что закономерность развития, действующая в прошлом (внутри ряда динамики), сохранится в прогнозируемом будущем, т.е. прогноз основан на экстраполяции. Экстраполяция, проводимая в будущее, называется перспективной, а в прошлое – ретроспективной (или интерполяция: определение недостающих уровней ряда).
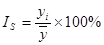
Сезонными колебаниями называются более или менее устойчивые внутригодовые колебания в рядах динамики, обусловленные специфическими условиями производства или потребления данного товара.
Сезонные колебания характеризуются индексами сезонности (Is), совокупность которых образует сезонную волну (рис. 4.3). Индексами сезонности являются процентные отношения фактических внутригодовых уровней к постоянной средней.
для одного года
;
для нескольких лет
,
где
– отдельные уровни ряда по месяцам;
– постоянная средняя (за год или за несколько лет);
– средний уровень для каждого месяца.
Тема 1.11. Индексный метод анализа
К числу обобщающих показателей, используемых в статистике, кроме средних, относительных величин и коэффициентов относятся и индексы.
Статистический индекс –это относительная величина сравнения сложных совокупностей и отдельных их единиц. При этом под сложной понимается такая статистическая совокупность, отдельные элементы которой непосредственно не подлежат суммированию.
Сфера применения (значение) индексов:
1. Сравнительная характеристика совокупностей, состоящих из несуммируемых элементов. Свойство несуммируемости натуральных единиц преодолевается переводом в стоимостные единицы при расчете индексов.
2. Анализ измерений явления в динамике (во времени), в пространстве (территориальные индексы), сравнение с планом.
3. Анализ влияния отдельных факторов на динамику сложного показателя (факторный анализ).
4. Факторный анализ динамики средних показателей (влияние структурных сдвигов).
Основным элементом индексного отношения является индексируемая величина. Под индексируемой величиной понимается значение признака статистической совокупности, изменение которой является объектом изучения. Сопоставление индексируемых величин при расчете индексов осуществляется с помощью соизмерителей (весов).
Классификация индексов по различным признакам приведена в таблице 6.
Таблица 6
Классификация индексов
| Признаки классификации | ||
| Характер изучаемых объектов | Степень охвата элементов совокупности | Методика расчета |
| Индексы объемных показателей | Индивидуальные | - |
| Индексы качественных показателей | Сводные: - Групповые (субиндексы) - Общие | Агрегатные (суммарные) |
| Средние |
Индивидуальные индексы дают сравнительную характеристику отдельных элементов совокупности, например:
(индекс цен),
(индекс себестоимости),
(индекс количества продукции),
где р0 и р1 – цена за единицу продукции (товара) в базисном и в отчетном периоде;
z0 и z1 – себестоимость единицы продукции в базисном и в отчетном периоде;
q0 и q1 – количество продукции (товара) в базисном и в отчетном периоде.
Групповые индексы (субиндексы) охватывают часть, группу элементов совокупности.
Общие индексы характеризуют изменение совокупности в целом, охватывают все ее элементы.
(общий индекс цен)
(общий индекс себестоимости)
или
(общий индекс количества продукции).
В зависимости от методологии расчета групповые и общие индексы могут быть:
- агрегатные (суммарные) – основная форма индекса;
- средние из индивидуальных – производная форма индекса, которую получают в результате преобразования агрегатных индексов.
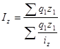
(средний гармонический индекс цен)
(средний гармонический индекс себестоимости)
или
(средний арифметический индекс количества продукции)
Если рассматривать не отдельный индекс, а ряд индексов, которые последовательно исчисляются от одного периода к другому, то различают цепную и базисную системы расчета индексов, с постоянными и переменными весами. В практике применяются все способы расчета систем индексов в зависимости от поставленной задачи.

