Альтернативным называется такой признак который можно принимать только 2 противоположных значения.
х1=1, х2=0
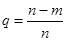
n – объем совокупности,
m – число единиц обладающих признаком
n – m – число единиц не обладающих признаком.
P = m/n – удельный вес (доля единиц обладающих признаком)
= 1-P – удельный вес (доля единиц не обладающих признаком).
p + q = 1
, то есть среднее значение альтернативного признака равно удельному весу единиц обладающих признаком.
, таким образом
альтернативного признака равно произведению удельного веса единиц, обладающих признаком и удельный вес единиц обладающих признаком.






