Позволяет выявить влияние вариации одного признака на вариацию другого и количественно оценить силу влияния этих признаков (тесноту связи).
- общая средняя
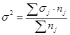
- общая дисперсия

то есть вариация исследуемого признака может быть представлена как сумма вариаций в отдельных группах относительно групповых средних и групповых средних относительных общих средних. Поэтому общая дисперсия может быть представлена как сумма дисперсий
- внутригрупповая
- средняя из внутригрупповых 
- межгрупповая 

Правило сложения дисперсии заключается в следующем: общая дисперсия равна сумме межгрупповой дисперсии и средней из внутригрупповых дисперсий.
На основе правила сложения дисперсий могут быть получены следующие показатели:
- характеризует влияние вариации группировочного признака на вариацию исследуемого признака.
2) Эмпирическое корреляционное отношение (этта)
характеризует степень влияния вариации группировочного признака на вариацию исследуемого (тесноту связи группировочного признака)
- может принимать значение от 0 до 1.
Если
= 0, то вариации исследуемого признака совершенно не зависит от вариации группировочного признака (уровня образования).
Если
= 1, то вариации исследуемого признака полностью обусловлено вариацией от первого группировочного признака.
При промежуточных значениях пользуются шкалой Чеддока.
Если
принимает значения:
0 – 0.3 – связь между признаками отсутствует.
0.3 – 0.5 – связь слабая.
0.5 – 0.7 – умеренная
0.7 – 1 – сильная.
Тема 1.8. Выборочное наблюдение
Выборочным называется один из видов несплошного наблюдения, при котором характеристика всей совокупности единиц дается по некоторой их части, отобранной в случайном порядке.
Реализация выборочного метода базируется на понятиях генеральной и выборочной совокупностей.
Генеральной совокупностью называется вся исходная изучаемая статистическая совокупность, из которой на основе отбора единиц или групп единиц формируется выборочная совокупность. Поэтому генеральную совокупность также называют основой выборки.
При выборочном наблюдении имеют дело с двумя категориями обобщающих показателей: долей и средней величиной.
Доля дает характеристику совокупности по альтернативно варьирующему признаку и исчисляется как отношение числа единиц совокупности, обладающих интересующим нас признаком, к общему числу единиц совокупности. Задача выборочного наблюдения в данном случае состоит в том, чтобы на основе измерения выборочной доли дать правильное представление о доле в генеральной совокупности.
Средняя величина характеризует типичное значение варьирующего признака, вариация которого проявляется в различных количественных значениях у отдельных единиц совокупности. Задача выборочного наблюдения в данном случае заключается в том, чтобы на основе выборочной средней дать правильное представление о генеральной средней.
При выборочном наблюдении, как и при любом другом, возможно возникновение ошибок, которые можно разделить на ошибки регистрации и ошибки репрезентативности, систематические и случайные.
Ошибки регистрации являются следствием неправильного установления значения наблюдаемого признака или неправильной записи. Они свойственны не только выборочному, но и сплошному наблюдению.
Ошибки репрезентативности (ошибки выборки) обусловлены тем, что выборочная совокупность не может по всем параметрам в точности воспроизвести генеральную совокупность. Получаемые расхождения называются ошибками репрезентативности, или представительности, так как они отражают, в какой степени попавшие в выборку единицы могут представлять всю генеральную совокупность. При этом следует различать систематические и случайные ошибки репрезентативности.
Систематические ошибки репрезентативности связаны с нарушением принципов формирования выборочной совокупности.
Случайные ошибки репрезентативности обусловлены действием случайных факторов, не содержащих каких-либо элементов системности в направлении воздействия на рассчитываемые выборочные характеристики.
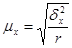
Ошибка выборки, или отклонение выборочной средней от средней генеральной, находится в прямой зависимости от дисперсии изучаемого признака в генеральной совокупности и в обратной зависимости от объема выборки.
Зависимость величины ошибки выборки от ее численности и от степени варьирования признака находит выражение в формулах средней ошибки выборки – среднем отклонении характеристик выборочной совокупности от аналогичных характеристик генеральной совокупности:
Средняя ошибка выборочной средней:
.
Средняя ошибка выборочной доли:
.
Однако то, что генеральная средняя или генеральная доля не выйдет за определенные пределы, можно утверждать не с абсолютной достоверностью, а лишь с определенной степенью вероятности, для чего рассчитывается предельная ошибка выборки:
,
где t – коэффициент доверия (коэффициент кратности ошибки), зависящий от вероятности, с которой можно гарантировать, что предельная ошибка не превысит t-кратную среднюю ошибку. Коэффициент доверия t определяется по таблице распределения вероятностей (например, вероятности р = 0,683 соответствует t = 1; вероятности р = 0,954 соответствует t = 2; вероятности р = 0,997 соответствует t = 3).
Распространение показателей выборочной совокупности на генеральную совокупность.
После исчисления предельных ошибок выборки находят доверительные интервалы для генеральных показателей, т.е. границы, в которых будут находиться значения изучаемых характеристик в генеральной совокупности.
Для генеральной средней пределы устанавливаются с учетом предельной ошибки выборочной средней:
или 
Для генеральной доли пределы устанавливаются с учетом предельной ошибки выборочной доли:
или 
Отбор единиц в выборочную совокупность может быть повторным или бесповторным.
При повторном отборе попавшая в выборку единица подвергается обследованию, т.е. регистрации значений ее признаков, возвращается в генеральную совокупность и наравне с другими единицами участвует в дальнейшей процедуре отбора. Таким образом, некоторые единицы могут попадать в выборку дважды, трижды или даже большее число раз. И при изучении выборочной совокупности они будут рассматриваться как отдельные независимые наблюдения.
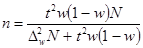
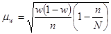
При бесповторном отборе попавшая в выборку единица подвергается обследованию и в дальнейшей процедуре отбора не участвует. Такой отбор целесообразен и практически возможен в тех случаях, когда объем генеральной совокупности четко определен. Получаемые при этом результаты, как правило, являются более точными по сравнению с результатами, основанными на повторной выборке (ошибка выборки при бесповторном отборе всегда будет меньше, чем при повторном отборе).
Таким образом, при бесповторной выборке численность единиц генеральной совокупности в процессе отбора сокращается, и при определении ошибки выборки формула корректируется на долю отобранных единиц в генеральной совокупности (n / N):
(для средней)
(для доли)
Нерайонированный отбор – отбор из всей генеральной совокупности, не разделенной на части.
Районированный отбор – единицы в выборочную совокупность отбираются не из всей генеральной совокупности, а из отдельных ее частей (групп), на которые она предварительно разбивается. Разбивка генеральной совокупности на группы часто осуществляется по реально существующему разделению совокупности на отдельные части (например, разделение студентов института по факультетам, работников предприятия по цехам), но иногда специально образуют группы по признакам, влияющим на вариацию изучаемых показателей (выделяют типы). Такой отбор называется типическим.
Собственно-случайный отбор – бесповторная нерайонированная выборка, при которой каждая единица совокупности имеет равную возможность попасть в выборочную совокупность (лотерея, жеребьевка).
Механический отбор – районированный или нерайонированный отбор единиц из генеральной совокупности по списку, не влияющему на результаты выборки, при котором отбирается каждая i-я единица совокупности:
.
Теоретически средняя ошибка выборки при районированном механическом отборе определяется по формуле ошибки типического отбора. Однако если генеральная совокупность разбита на группы по строго нейтральному группировочному признаку в отношении изучаемого показателя, то средняя внутригрупповых дисперсий будет равна общей дисперсии:
.
Поэтому и при механическом отборе применяют те же формулы ошибки выборки, что и при собственно-случайном отборе. Однако механический отбор имеет преимущество перед собственно-случайным: его не только легче организовать, но при нем единицы совокупности равномернее распределяются в генеральной.
Многоступенчатая выборка – типический отбор в сочетании с несколькими стадиями отбора, при этом каждая стадия имеет свою единицу отбора. Ошибки многоступенчатой выборки складываются из ошибок на отдельных стадиях отбора.
Многофазная выборка – отличается от многоступенчатой тем, что на всех ступенях выборки сохраняется одна и та же единица отбора.
Серийная выборка – производится случайный отбор не отдельных единиц совокупности, а целых серий. Внутри отобранных серий сплошное обследование всех единиц. Ошибка выборки при серийном отборе определяется на основе межсерийной (межгрупповой) дисперсии (d2):
Для средней –
(повторный отбор)
(бесповторный отбор)
Для доли -
(повторный отбор)
(бесповторный отбор)
где r – число отобранных серий;
R – число серий в генеральной совокупности;
- межсерийная дисперсия средних;
- межсерийная дисперсия доли.
Малая выборка – такое выборочное наблюдение, численность единиц которого не превышает 20 (согласно другому определению: численность выборки не превышает 1% от генеральной совокупности).
Средняя ошибка малой выборки исчисляется по формуле:
,
где
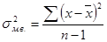
– дисперсия в малой выборке:
.
Предельная ошибка малой выборки имеет обычный вид: 
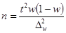
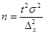
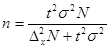
Расчет необходимого объема выборки предполагает, что организаторы выборочного наблюдения уже на этапе его проектирования располагают по крайней мере косвенными данными о вариации изучаемых признаков.
Формулы расчета необходимой численности случайной и механической выборки приведены в таблице 5.
Таблица 5
Определение необходимой численности выборки
| Виды выборки | Для средней | Для доли |
| Повторная | | |
| Бесповторная | | |
Тема 1.9. Статистическое изучение взаимосвязи
социально-экономических явлений
Исследование объективно существующих связей между явлениями – важнейшая задача общей теории статистики. В процессе статистического исследования зависимостей вскрываются причинно-следственные отношения между явлениями, что позволяет выявлять факторы (признаки), оказывающие существенное влияние на вариацию изучаемых явлений и процессов.
Причинно-следственные отношения – это связь явлений и процессов, при которой изменение одного из них (причины) ведет к изменению другого (следствия).
Признаки по значению для изучения взаимосвязи делятся на два класса. Признаки, обуславливающие изменения других, связанных с ними признаков, называются факторными, или просто факторами (х). Признаки, изменяющиеся под действием факторных признаков, являются результативными (у).
Различают 3 основных вида статистических взаимосвязей:
1) Балансовые (система показателей, представляющая собой равенство двух частей, состоящих из отдельных элементов). Например:
Начальный остаток + Поступление = Расход + Конечный остаток
2) Компонентные (изменение какого-либо сложного явления полностью определяется изменением компонентов, входящих в это сложное явление как множители). Например:
Стоимость товара = Количество товара х Цена за единицу;
Затраты на производство продукции = Количество продукции х Себестоимость единицы продукции.
3) Факторные (проявляются в согласованной вариации различных признаков у единиц одной и той же совокупности), которые разделяются на:
- Функциональные;
- Стохастические.
Функциональной называют такую связь, при которой определенному значению факторного признака соответствует одно и только одно значение результативного признака, функциональная связь проявляется во всех случаях наблюдения и для каждой конкретной единицы исследуемой совокупности (т.е. это связи полные, жесткие).
Если причинная зависимость проявляется не в каждом отдельном случае, а в общем, среднем при большом числе наблюдений, то такая зависимость называется стохастической (т.е. это связи неполные, соотносительные). Частным случаем стохастической является корреляционная связь, при которой изменение среднего значения результативного признака обусловлено изменением одного или нескольких факторных признаков.
Формы связей:
1) По направлению выделяют связь прямую и обратную.
При прямой связи с увеличением или уменьшением значений факторного признака происходит увеличение или уменьшение значений результативного. Так, например, рост производительности труда способствует увеличению уровня рентабельности производства.
В случае обратной связи значения результативного признака изменяются под воздействием факторного, но в противоположном направлении по сравнению с изменением факторного признака. Так, с увеличением уровня фондоотдачи снижается себестоимость единицы производимой продукции.
2) По аналитическому выражению выделяют связи прямолинейные (или просто линейные) и нелинейные.
Если статистическая связь между явлениями может быть приближенно выражена уравнением прямой линии, то ее называют линейной связью, если же она выражается уравнением какой-либо кривой линии (параболы, гиперболы, степенной, показательной, экспоненциальной и т. д.), то такую связь называют нелинейной, или криволинейной.
3) По количеству факторных признаков различают связи однофакторные и многофакторные.
Если изучается связь между результативным признаком (у) и одним признаком-фактором (х), то данная связь однофакторная.
Многофакторная связь выражает зависимость результативного признака (у) от нескольких признаков-факторов, действующих одновременно, комплексно.