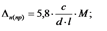
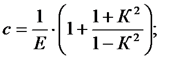
В соединениях с натягом должна быть обеспечена возможность передачи заданного крутящего момента, для которого в первом приближении величина натяга, в случае тепловой посадки, находится из зависимости

По полученному значению
для соединения выбирается посадка с натягом (табл.), диапазон отклонений которой охватывает значение 
Если при эксплуатации такого соединения требуется многократная пере прессовка, то величина натяга должна находиться в упруго - пластической или упругой зонах контакта (ННУК), которые реализуется для заданной комплексной характеристики шероховатости
при величине натяга

В других случаях виды контакта устанавливаются по величине натяга из следующих зависимостей:
ННПК
(ненасыщенный пластический контакт)

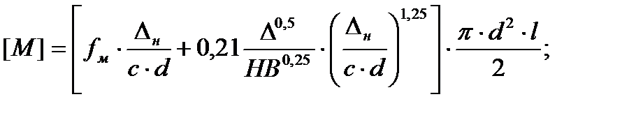
НПК
(насыщенный пластический контакт)


Где НВ - твёрдость менее твёрдой поверхности в
сопряжении, МПа;
Е – модуль упругости, МПа;
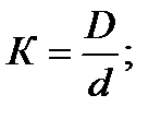
D – наружный диаметр ступицы, м;
D – диаметр вала, м.
Как правило, в соединениях с натягом, если не принимать специальных мер по подготовке контактирующих поверхностей, реализуется ННПК или НПК. Как видно, граничным условием перехода одного вида контакта в другой является равенство
|
|
|

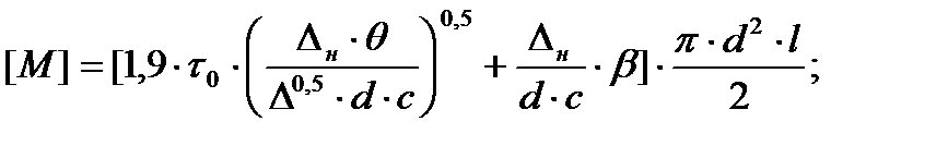
Для выявления возможности передачи соединением заданного крутящего момента М, при установленном виде контакта, находятся максимальные величины крутящего момента
для крайних значений отклонений посадки, по следующим зависимостям
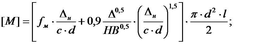
ННУК

ННПК

НПК

- молекулярную составляющую коэффициента трения принимать равной 0,12.
Значение [
, при котором
,является предельным, при котором эксплуатация соединения недопустима.
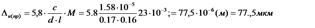
Пример 2.3. Определить минимальную величину натяга, обеспечивающей передачу заданного крутящего момента зубчатой муфтой МЗП со следующими характеристиками:
Внутренний диаметр вала, d = 170 мм
Диаметр ступицы, D = 270 мм
Длина посадочной поверхности ступицы. 
Передаваемый крутящий момент,
= 
Комплексная характеристика шероховатости вала Δ= 
Твёрдость материала вала НВ = 3000МПа
Твёрдость материала ступицы НВ = 2500МПа
Решение.
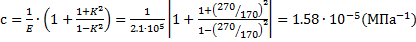
1. в первом приближении величину натяга определяем из зависимости

При коэффициенте упругости
,
2. выбираем посадку, обеспечивающую данный натяг из табл.1.3.3., 
3. находим граничное условие

4. так как выполняется условие

то, в соединении реализуется насыщенный пластический контакт.
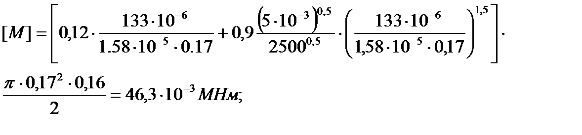
5. Определяем величины моментов, которые могут быть переданы данным соединением в условиях НПК.

Для величины натяга 133мкм


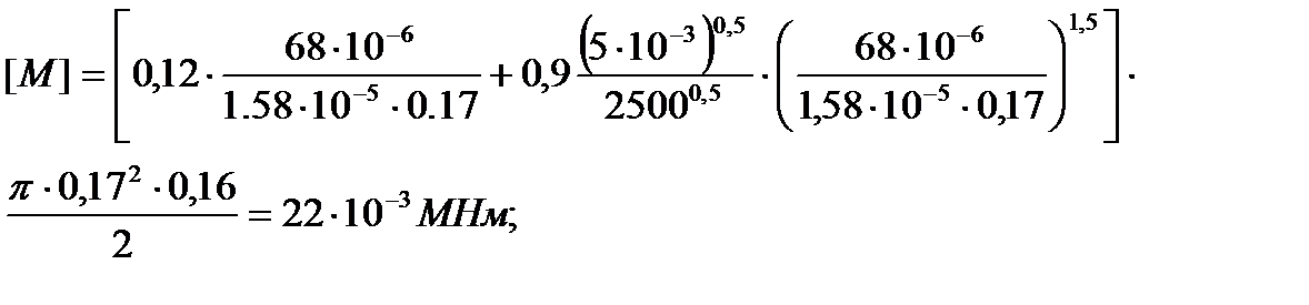
Для величины натяга 68 мкм


При минимальной величине натяга равной 68 мкм передача заданного крутящего момента равного 23кНм не обеспечивается.
|
|
|
Заданный крутящий момент может быть передан только при нижнем значении натяга, равном 100 мкм в, либо дополнительно требуется выполнить шпоночное соединение.






