(Выбор смазочных материалов)
3.1. Методика выбора смазочных материалов
Смазочные материалы являются, по сути, конструкционными материалами, и от правильного выбора соответствующей марки смазочного материала во многом зависит надежность машин и механизмов.
Освоение методики выбора смазочных материалов позволяет не только осуществлять их выбор, но и выявлять как границы их использования, так и область изменения параметров нагружения, обеспечивающую наибольшую износостойкость узла трения.
Применение того или иного вида смазочного материала в конкретном узле трения зависит от многих факторов: условий внешней среды (температура, влажность и т.д.), удельной нагрузки, скорости смещения контактирующих поверхностей, характера движения (прерывистое, реверсивное), геометрических характеристик и материала пар трения, твердости поверхностных слоев трущихся тел, необходимости использования конкретной системы смазывания, конструктивного исполнения узла трения и др.
Металлургические машины, особенно прокатные станы, характеризуются широким спектром нагружения, и поэтому даже рекомендуемые заводом-изготовителем марки смазочных материалов не могут охватить всего диапазона изменения силовых и кинематических параметров технологического процесса. Специалист, осуществляющий техническую эксплуатацию оборудования, обязан знать границы изменения этого диапазона, как для используемых марок смазочных материалов, так и для их заменителей.
|
|
|
В общем случае методика выбора смазочных материалов заключается в следующем:
- выявляются условия работы и технические параметры узла трения;
- осуществляется выбор вида смазочного материала;
- определяется марка смазочного материала.
Основными параметрами, влияющими на выбор смазочного материала, являются: номинальная удельная нагрузка
, скорость скольжения
, параметр
, температура
, твердость материала и микрогеометрия трущихся поверхностей.
3.2. Выбор марки минерального масла
3.2.1. Выбор марки минерального масла для подшипников скольжения
Основным свойством минеральных масел, определяющим возможность реализации режима жидкостной смазки, является вязкость. Поэтому выбор марки минерального масла основывается на расчете требуемой вязкости при рабочей температуре узла трения.
Для практики эксплуатации подшипников скольжения необходимую вязкость можно определять из зависимости

где
- динамическая вязкость при рабочей температуре, Па ·с;
- безразмерная величина, число Зоммерфельда;
- номинальное давление, Па;
- угловая скорость, рад/с
- относительный диаметральный зазор;
|
|
|
d - диаметр вала, м;
диаметральный зазор.
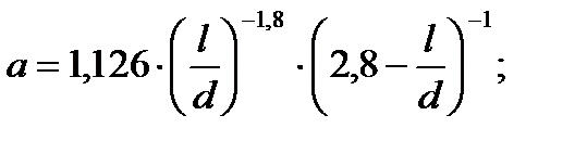
Значение числа Зоммерфельда So для различных значений
- отношения длины к диаметру подшипника находится из зависимостей:

Для подшипника скольжения величина относительно зазора y находится из соотношения
,
где
- минимальный и максимальный зазоры в поле допуска принятой посадки (табл.3).
Средняя рабочая температура масла в подшипнике скольжения определяется из зависимости:

где
- температура масла, входящего в подшипник. Принимается равной 40…60°С в зависимости от возможности теплоотвода и нагруженности узла трения.
- нагрузка на подшипник, МН;
- диаметр вала, м;
- коэффициент при давлении масла 0,3 МПа.

При износе подшипника давление масла падает, и при его снижении менее 0,1 МПа значение коэффициента a возрастает в 1,5 раза, что ведет к снижению вязкости минерального масла.
Определив необходимую вязкость при рабочей температуре, находим вязкость при эталонной температуре t = 40°С

значение коэффициента n находим из зависимости

где,
- кинематическая вязкость масла при рабочей температуре;
tр - рабочая температура масла.
По полученному значению вязкости при эталонной температуре из табл. 1,2 выбирают необходимую марку смазочного материала.
Пример 3,1. Выбрать марку минерального масла для ПЖТ клети дуо 1150× 2800
Исходные данные:
длина втулки подшипника 620 мм
внутренний диаметр втулки подшипника 690 мм;
давление металла на валки 17 МН;
частота вращения валков 120 об./мин
посадка подшипника E9/h8 (
)
Решение.
Выбор марки минерального масла осуществляется по значению вязкости, при котором обеспечивается режим жидкостной смазки
Необходимая вязкость минерального масла находится из зависимости

В которую необходимо подставить расчётные значения числа Зоммерфельда So, относительного диаметрального зазора
, номинального давления
, угловой скорости 
Для



(
)
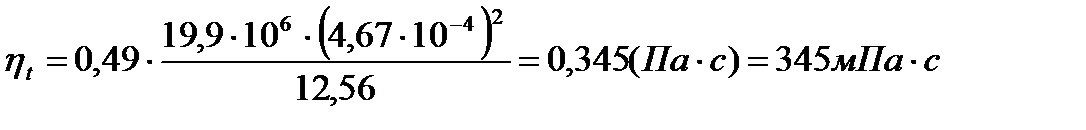
Тогда

Рабочая температура масла в подшипнике



Так как в справочниках приведена кинематическая вязкость минеральных масел, осуществим перевод значения динамической вязкости в кинематическую

Находим вязкость минерального масла при эталонной температуре t = 40
из зависимости

показатель степени «n» из зависимости

Этой вязкости соответствует минеральное масло И-Т-Д-1000 ТУ-38.101450-76
3.2.2. Выбор марки минерального масла
для подшипников качения
При выборе марки минерального масла для подшипникового узла необходимо учитывать размеры подшипника и частоту его вращения, величину нагрузки, действующей на подшипник, рабочую температуру подшипникового узла и состояние окружающей среды.
Выбор необходимой вязкости минерального масла осуществляется по номограммам на рис. Марка минерального масла находится из табл. 1,2.
По номограмме «а» на рис 2.1. из точки, соответствующей Do, например 400мм, проводим вертикаль до пересечения с наклонной линией n = …об/мин., например 500 об/мин. Из точки пересечения проводим горизонтальную линию до пересечения с осью ординат. Получаем
, 
По номограмме «б» рис.2.1. находим вязкость минерального масла при эталонной температуре 40°С
Из точки на оси ординат, равной
, проводим горизонталь до пересечения с вертикалью, проведенной из точки, соответствующей температуре t =… °С., например 60 
Из точки пересечения проводим прямую, параллельную ближайшей наклонной прямой, до пересечения с вертикалью, проведенной из точки t = 40°С.
Из полученной точки проводим горизонталь до пересечения с осью ординат. Находим:
Для заданных условий
, марка минерального масла И-Г-А-32 ГОСТ 20799-88
Из табл. 1,2 выбираем марку минерального масла А

а б
Рисунок 2.1. Номограммы для выбора масла с вязкостью,
соответствующей заданным условиям эксплуатации
|
|
|
3.2.3. Выбор марки минерального масла
для зубчатых зацеплений
На выбор марки минерального масла для зубчатых передач оказывают влияние: температурный режим (50…130 °С), окружная скорость, нормальные контактные напряжения в зоне контакта, твердость и состояние контактирующих поверхностей.
Как правило, для легко- и средненагруженных зубчатых передач применяют индустриальные масла без присадок.
В легконагруженных зубчатых зацеплениях нормальные контактные напряжения не превышают 800 МПа при окружной скорости до 100 м/с, в средненагруженных зубчатых зацеплениях соответственно 1200 МПа и 10 - 15 м/с. Для более тяжелых условий работы используют индустриальные масла с противоизносными и противозадирными присадками табл. 2
Определение необходимой вязкости минерального масла для стальных зубчатых передач производится по графику на рис. 2.2. в зависимости от параметра Х

где
- твердость по Виккерсу, МПа;
-максимальное нормальное контактное напряжение, МПа;
u - окружная скорость, м/с.
Верхний предел вязкости (рис. 2.2) принимается при следующих условиях:
- изготовление обеих зацепляющихся шестерен из одной марки или хотя бы одной из шестерен из никелевой или хромоникелевой стали со сквозной закалкой;
- работа передачи с ударными нагрузками;
- температура окружающего воздуха выше 25 °C.
Нижний предел (меньшее значение вязкости) при:
- высокой точности обработки шестерен (не менее 6-й степени точности);
- температуре окружающего воздуха ниже 10 °C;
- фосфатированной или сульфидированной шестерни;
- параметре
> 100.
Для нахождения твердости по Виккерсу, зная значение твердости по Роквеллу, можно пользоваться зависимостью:

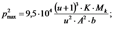
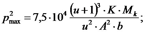
Наибольшее нормальное контактное напряжение для:
цилиндрических прямозубых зацеплений

цилиндрических косозубых и шевронных зацеплений

конических зацеплений

где u - передаточное число;
A - межцентровое расстояние, м;
b - ширина зубчатого венца, м;
- диаметр внешней делительной окружности (на дополнительном конусе), м;
k - коэффициент, равный 1,3...1,5 (меньшие значения следует выбирать при расположении колес на валах, близком к симметричному; большие значения - при несимметричном расположении колеса);
|
|
|
- крутящий момент на колесе, МН ·м.
Для полученного значения параметра Х верхний предел вязкости (рис.2.2) принимается для зацепляющихся шестерен, изготовленных из одной марки или хотя бы одной из шестерен из никелевой или хромоникелевой стали со сквозной закалкой;
Пример 3.2. Определить марку минерального масла для зубчатого зацепления редуктора – шестерённой клети линии привода валков прокатной клети № 1 стана 2000 холодной прокатки.
Исходные данные:
Мощность привода, N = 5452 кВт
Частота вращения, n = 264/886 об/мин
Модуль зацепления, m = 20 мм
Число зубьев шестерни, Z1 = 24
Число зубьев колеса, Z2 = 62
Межосевое расстояние, а = 900 мм
Угол наклона зубьев, 
Ширина зубчатого венца, b = 520 мм
Твёрдость материала зубьев, HV = 551
Решение.
Необходимую вязкость найдём из графика на рис. 2.2 по параметру X
,
Так как зубчатые колёса изготовлены из одной марки стали значение вязкости принимаем по верхнему пределу

Значение окружной скорости 


Находим значение вязкости минерального масла при эталонной температуре t = 40 
=

Выбираем марку минерального масла И-Т-Д-100 ТУ-38.101293-78
Литература
1. Жиркин Ю.В. Надёжность, эксплуатация и ремонт металлургических машин: Учебное пособие. – Москва: «Теплотехник», 2009. – 2009. – 336 с.
2. Жиркин Ю.В. Надежность, эксплуатация и ремонт металлургических машин. Учебник Минобразования Р.Ф. электронный ресурс, 550 Мб, «ФГУП НТЦ ИНФОРМРЕГИСТР» Регистрационное свидетельство № 6152 От 9.11.2005 г. № ГР 0320500588. Образовательный портал /lms.magtu.ru/login/index.php
| 5000Х |
|
Рисунок 2.2. Зависимость значения вязкости
от параметра Х.






