(Предельные износы в парах трения)
2.1. Критерии предельного износа
Выход величины износа за допустимые значения ведёт к нарушению работоспособности пары трения. Поэтому, последовательно для каждого сопряжения, рассчитывается предельно допустимая величина износа наиболее изнашиваемой и сопряженной с ней детали.
Прежде чем в рассматриваемом узле приступать к определению допустимой величины износа для пары трения в, необходимо установить критерий, определяющий его работоспособность.
Такими критериям могут быть:
- прекращение функционирования изделия. (Например, при определённом износе клиньев в барабане разматывателя станет невозможна фиксация рулона на барабане разматывателя);
- изнашивание упрочнённых поверхностей, приводящее к взаимодействию не упрочнённых поверхностей и, как следствие, к интенсивному изнашиванию и возможному схватыванию материалов пары трения, то есть к нарушению работоспособности изделия;
- возникновение в деталях напряжений, превышающих допустимые значения и являющихся следствием возникновения динамических нагрузок при повышенных зазорах в результате износа сопряжения или ослабления сечения детали в результате её износа;
- нарушение режима жидкостной смазки в подшипниках скольжения, как результат увеличения диаметрального зазора в процессе изнашивания вкладыша;
- переход пары трения в область интенсивного изнашивания, (например, переход трения качения в трение скольжения)
- повышенные утечки рабочей жидкости в управляющих устройствах и приводах гидравлических систем;
- нарушение посадки соединения с натягом в результате пере прессовок при ремонтах и вследствие этого не обеспечивающих передачу заданного крутящего момента;
- и другие критерии, характеризующие выход изделия из области работоспособного состояния.
В соответствии с установленным критерием ведется расчет допустимой величины износа деталей в сопряжении.
Полученные данные округляются до технически приемлемых значений, определяемых точностью применяемых измерительных инструментов. Здесь же приводится характеристика измерительного инструмента.
2.2. Определение величины предельного износа в зубчатом зацеплении по условию прочности.
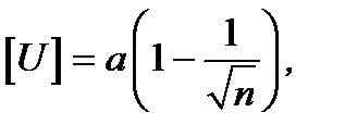
Значения максимально допустимой величины износа [U] для тихоходных зубчатых (окружная скорость V˂1 м/с) передач можно найти по зависимости:
;


где,
– предел текучести;
– толщина зуба в основании;

m – модуль зацепления;
D – диаметр делительной окружности шестерни;
Для быстроходных зубчатых передач (окружная скорость V>1 м/с) при определении [U] из условия прочности необходимо также учесть возрастание динамических нагрузок при увеличении зазора в зацеплении.
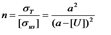
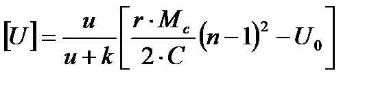
В этом случае используется зависимость

где u – передаточное число передачи;
n – запас прочности, 
коэффициент, равный отношению износостойкости колеса к износостойкости шестерни, или твёрдости колеса к твёрдости шестерни.
С – жесткость наиболее податливого звена в линии привода (как правило шпиндель или промвал), МН/рад;
Мс – статический момент сил сопротивления в зацеплении, МНм;
Uо – начальный зазор в сопряжении (табл), м;
r – радиус делительной окружности шестерни, м.
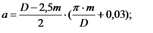
Пример 2.1. Найти предельную величину износа шестерни первой ступени редуктора – шестерённой клети в линии привода первой клети стана 2000 холодной прокатки.
Исходные данные:
Мощность привода, N = 5482 кВт
Частота вращения, n = 264/886 
Модуль зацепления, m = 20 мм
Число зубьев шестерни,
= 24
число зубьев колеса
= 62
Межосевое расстояние, А = 900 мм
Коэффициент относительной износостойкости
колеса и шестерни, k = 1
жёсткость наиболее податливого звена (карданный вал) 39 МН/рад
Решение.
Предельную величину износа шестерни определяем из зависимости

Находим:
a. наибольший момент на входном валу редуктора

b. радиус шестерни r и передаточное число u

Из табл. Для А = 900 мм и сопряжения Д принимаем гарантированный начальный боковой зазор 
Тогда предельная величина износа шестерни
. Принимаем [U] = 0.3 мм.
2.3. Определение величины предельного износа в подшипнике скольжения.
В процессе эксплуатации узла трения с подшипником скольжения происходит износ вкладышей или втулки, что ведёт к увеличению радиального зазора, и как следствие, к нарушению режима гидродинамической смазки
Предельное значение зазора
, при котором еще реализуется гидродинамическая жидкостная смазка, находится из зависимости
;. 
d – номинальный диаметр вала, м
– длина подшипника, м
– динамическая вязкость при рабочей температуре t, Па·с
- номинальное давление, Па
- угловая скорость вала, 
Пример 2. Определить предельную величину зазора по износу вкладышей в ПЖТ валков клети дуо 1150× 2800
Исходные данные:
длина втулки подшипника 620 мм
внутренний диаметр втулки подшипника 690 мм;
давление металла на валки 17 МН;
частота вращения валков 120 об./мин
посадка подшипника E9/h8 (
)
Смазочный материал И-Т-В-460
Рабочая температура ПЖТ 50 
Решение. Предельное значение зазора 
Предельное значение зазора
найдём из зависимости

Находим:
a. значения угловой скорости
и номинального давления 

b. значение динамической вязкости при рабочей температуре.
Кинематическая вязкость смазочного материала И-Т-В-460 при эталонной температуре 40 
,
тогда динамическая вязкость

где
плотность смазочного материала, 
Динамическая вязкость при рабочей температуре 50 


тогда 
Предельное значение зазора
,

Принимаем предельное значение зазора
,






