Математическое моделирование является одним из основных инструментов научных исследований в экономике и менеджменте, что привело к созданию значительного числа экономико-математических моделей [8,12]. Математическая модель является приближенным представлением реальных объектов, процессов или систем, выраженным в математических терминах и сохраняющим существенные черты оригинала. Математические модели в количественной форме, с помощью логико-математических конструкций, описывают основные свойства объекта, процесса или системы, его параметры, внутренние и внешние связи. Отдельные категории моделей, получившие широкое распространение в научных исследованиях в области экономики и менеджмента, представлены в табл.4.1 [7].
Таблица 4.1⎼ Категории моделей
| № п/п | Категория | Процесс и цель | Методы представления |
| 1. | Оптимизация задач с несколькими альтернативами | Найти лучшее решение из небольшого количества альтернатив | Деревья решений. Таблицы решений |
| 2. | Оптимизация через алгоритм | Найти лучшее решение из большого или бесконечного числа альтернатив, используя процесс пошагового управления | Линейные и другие модели математического программирования; сетевые модели |
| 3. | Имитационные модели | Нахождение приемлемого решения, или лучшего среди проверенных альтернатив, с использованием экспериментов | Различные методы имитационного моделирования |
| 4. | Эвристика | Найти приемлемое решение, используя правила | Эвристическое программирование; экспертные и интеллектуальные системы |
| 5. | Другие модели | Нахождение ситуации что–если (what - if), используя правила | Финансовое моделирование |
| 6. | Предсказательные модели | Предсказание будущего на основе данного сценария. | Модели прогнозирования; Марковский анализ |
Оптимизации с несколькими альтернативами предполагает создание модели, позволяющей найти решение из конечного числа альтернатив. При этом подходе альтернативы перечисляются в таблице или представляются в виде графа с их прогнозируемыми вкладами в достижение цели и вероятностями осуществления таких вкладов. Они могут быть оценены для выбора лучшей альтернативы. Таблицы решений являются удобным способом организации информации в систематическом виде. Деревья решений являются альтернативным представлением таблицы решений. Дерево решений имеет два преимущества: во-первых, оно показывает отношения и связи в задаче графически; во-вторых, оно может обращаться со сложными ситуациями в компактной форме. Однако оно не может быть громоздким, если в процесс вовлечены много альтернатив или состояний природы. В основе деревьев решений лежат решающие правила «если.. то…», которые могут быть сформулированы на естественном языке, что делает деревья решений наглядными и легко интерпретируемыми моделями.
|
|
|
|
|
|
Оптимизация с использованием математического программирования теория и методам решения задач о нахождении экстремумов функций на множествах, определяемых линейными и нелинейными ограничениями (равенствами и неравенствами). Наиболее известным методом этого семейства инструментов является линейное программирование. Однако практическое применение находят и другие методы математического программирования: нелинейное программирование, динамическое программирование, стохастическое программирование.
Использование информационных технологий, для решения задач линейного программирования – актуальное направление как для специалистов, занимающихся менеджментом и маркетингом, так и для тех, кто проявляет научный интерес к решениям задач оптимизации.
При построении математической модели и решении задачи оптимизации можно выделить следующие этапы:
1. Определение цели оптимизации.
2. Определение параметров модели, т.е. заранее известных фиксированных факторов, на значение которых исследователь не влияет.
3. Формирование управляющих переменных, изменяя значения которых можно достичь поставленной цели. Значения управляющих переменных являются решениями задачи.
4. Определение области допустимых решений, т.е. тех ограничений, которым должны удовлетворять управляющие переменные.
5. Выявление неизвестных факторов, т.е. величин, которые могут изменяться случайным или неопределенным образом.
6. Выражение цели через управляющие переменные, параметры и неизвестные факторы, т.е. формирование целевой функции, называемой также критерием эффективности или критерием оптимизации.
Рассмотрим пример задачи о назначениях, оптимальное решение которой может быть найдено с помощью построения и расчета соответствующих математических моделей.
Математическая модель задачи о назначениях формулируется следующим образом. Имеется
работ и
кандидатов для их выполнения. Затраты i-го кандидата на выполнение
- ой работы равны
. Каждый кандидат может быть назначен только на одну работу, и каждая работа может быть выполнена только одним кандидатом. Требуется назначить кандидатов на работы таким образом, чтобы затраты на выполнение работ были минимальны.
Цель: Минимизация затрат на выполнение работ.
Параметры модели:
·- затраты на выполнение i- ым кандидатом на;j-ой работы,
.
n- число работ и число кандидатов на их выполнение.
Управляющие переменные:
– переменная, значение которой равно 1, если i-ый кандидат выполняет j-ую работу,
, в противном случае равно 0.
Ограничения задачи: Каждый кандидат выполняет только одну работу, каждая работа может быть выполнена только одним кандидатом.
Критерий оптимальности: Минимизация суммарных затрат на выполнение работ.
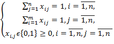
Таким образом, математическая модель задачи о назначениях имеет следующий вид:
(4.1)
(4.2)
Решение задачи оптимизации назначений рассмотрим на следующем примере. Институт получил гранты на выполнение четырех исследовательских проектов. Выходные результаты первого проекта являются входными данными для второго проекта, результаты третьего проекта используются четвертым проектом. В качестве научных руководителей проектов рассматриваются кандидатуры четырех ученых, обладающих различным опытом и способностями. Каждый ученый оценил время, необходимое ему для реализации проекта. Матрица времен приведена ниже:
В
- ой строке
- столбце стоит время
на выполнение -ым ученым
го проекта. Продолжительность времени задана в месяцах. Пусть
=1, если -ый ученый – научный руководитель
- проекта, а в противном случае.
,
|
|
|
Требуется выбрать научного руководителя для выполнения проекта так, чтобы суммарное время выполнения всех проектов было минимальным.
Целевая функция задачи имеет вид в соответствии с (4.1) имеет вид:

Для выбора научного руководителя необходимо создать таблицу, содержащую исходные данные и зависимости математической зависимости (рис.4.1).

Рис.4.1. Исходные данные в задачах о назначении
Дальнейшее решение задачи оптимизации осуществляется путем выполнения команды Поиск решения, запуск которой осуществляется после выполнения установок и ограничений (рис.4.2).

Рис. 4.2. Параметры команды Поиск решений
Модели, реальные процессы и явления в которых описываются в виде явных функциональных зависимостей (уравнений линейных или нелинейных, дифференциальных или интегральных, систем этих уравнений), получили название аналитических моделей. Их применение в экономике и менеджменте ограничено сложностью исследуемых процессов и явлений, когда аналитические зависимости не всегда возможно построить. В этом случае исследователи прибегают к имитационному моделированию.
Имитационное моделирование представляет собой численный метод проведения вычислительных экспериментов средствами информационных технологий и систем с математическими моделями, имитирующими поведение реальных объектов, процессов, явлений во времени в течение заданного периода. Его реализация основывается на совокупности методов алгоритмизации функционирования объектов исследований, программной реализации алгоритмических описаний, организации, планирования и выполнения средствами информационных технологий экспериментов с математическими моделями, имитирующими функционирование исследуемые процессы и явления в течение заданного периода. Термин «имитационное моделирование» означает, что мы имеем дело с такими математическими моделями, с помощью которых нельзя заранее вычислить или предсказать поведение системы, а для предсказания поведения системы необходим вычислительный эксперимент (имитация) на математической модели при заданных исходных данных.
|
|
|
Эвристика ─ специальные методы решения задач (эвристические методы), которые обычно противопоставляются формальным методам решения, опирающимся на точные математические модели. Использование эвристических методов (эвристик) сокращает время решения задачи по сравнению с методом полного ненаправленного перебора возможных альтернатив; получаемые решения не являются, как правило, наилучшими, а относятся лишь к множеству допустимых решений.
Предсказательные модели основываются на методах прогнозирования и имеют важное значение в исследовательских проектах, направленных на повышение эффективности экономики и менеджмента.