Расчетная схема клеефанерных плит – однопролетная шарнирно опертая балка. Расчетные поперечные сечения коробчатой панели – условно двутавровое, ребристых панелей обшивкой вверх или вниз соответственно тавровые полкой вверх или вниз. При определении приведённых моментов инерции и приведённых моментов сопротивления расчётную ширину фанерных обшивок следует принимать равной:
, если
и
, если
(где b – полная ширина сечения плиты,
- пролёт плиты, a – расстояние между продольными рёбрами по осям)


В расчете на местный изгиб от груза
расчетная схема панели – пластинка, защемленная продольными ребрами шириной 1 м, длиной, равной а.
Р х =
- нормальная составляющая расчётной нагрузки от сосредоточенного груза.
Так как конструкция состоит из двух материалов, отличающихся своими физико-механическими свойствами, геометрические характеристики принимаются приведенными к материалу наиболее напряженного элемента конструкции – фанере (древесине). Геометрические характеристики, приведенные к материалу фанеры:
(1)
(2)
(3)
|
|
|
(4)
к материалу древесины:
(5)
(6)
где Аф, Адр, Jф, Jдр, Sф, Sдр, Wф, Wдр, Eф, Eдр – площадь, момент инерции, статический момент, момент сопротивления и модуль упругости соответственно фанеры и древесины.
Расчет по I группе предельных состояний сводится к проверке следующих условий:
- Проверка верхней обшивки на сжатие при изгибе:
16
(7)
где, Rф.с .- расчетное сопротивление фанеры сжатию.
- группа коэффициентов условий работы конструкции согласно п.3.2 [1]
– коэффициент устойчивости фанеры, равный согласно ([1] и 4.26).
при
;
при
.
а – расстояние между ребрами в свету,
- толщина фанеры.
2. Проверка нижней обшивки на растяжение при изгибе:
(8)
тф – коэффициент, учитывающий ослабление сечения обшивки усовым соединением листов фанеры;
тф =0,6 – для фанеры марки ФСФ;
тф =0,8 – для бакелизированной фанеры;
Rф.р. – расчетное сопротивление фанеры растяжению.
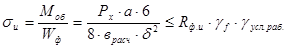
3. Проверка верхней обшивки на изгиб между продольными ребрами от сосредоточенного груза Р:
(9)
Rф.и. – расчетное сопротивление фанеры изгибу;
= 1,2 – коэффициент надёжности по нагрузке;
Моб – максимальный изгибающий момент от сосредоточенного груза;
врасч - расчетная ширина, на которую условно распределена нагрузка Р, принимается равной 1м.
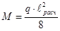
4. Проверка ребер на изгиб (для ребристых панелей):
(10)
Rд.и. – расчетное сопротивление древесины изгибу с учётом коэффициента перехода породы древесины (Приложение 8, 9);
- максимальный изгибающий момент от действия равномерно-распределенной нагрузки q:
.
5. Проверка на скалывание ребер каркаса плит или обшивки по шву в месте примыкания ее к ребрам:
(11)
- расчетная поперечная сила;
|
|
|
Sпр – статический момент сдвигаемой части приведенного сечения относительно нейтральной оси;
Rск – расчётное сопротивление скалыванию древесины вдоль волокон или фанеры вдоль волокон наружных слоёв (меньшее из значений).
врасч – расчетная ширина сечения, равная суммарной ширине ребер каркаса.
Примечание. В расчете
- это произведение коэффициентов, которые необходимо вводить при данных условиях эксплуатации конструкции согласно п. 3.2[1]. Например,
. Кроме того в качестве сомножителя следует ввести коэффициент перехода породы для древесины любой породы, кроме сосны и ели, mп.
- Расчет по II группе предельных состояний:
18
(12)
к = 0,7 – коэффициент, учитывающий пониженную жесткость сечения клеефанерных плит, согласно п. 4.34 [1].






