В конструктивном отношении панели можно разделить на два типа: а) с нетеплопроводными и
б) с теплопроводными обшивками.
Обшивки выполняют из прочных листовых материалов: фанеры, стеклопластика, древесностружечных плит и др.
Панели со сплошным срединным слоем состоят из двух обшивок и надёжно приклеенного к ним срединного слоя из пенопласта. По контуру панели устраивают обрамление из твёрдого листового материала или досок. При этом обрамление и обшивки соединяются между собой только податливыми связями (гвоздями, шурупами, болтами), вследствие чего обрамление не включается в общую работу панели. В таких панелях нормальные напряжения воспринимаются только обшивками. Для обшивок принимаются тонкие и прочные листовые материалы: сталь толщиной 0,5
1,2 мм, алюминий толщиной 0,8
1,5 мм, стеклопластик толщиной 6
10 мм и др. Панели изготовляют обычно под пролёты от 1 до 6 м. Высота панелей принимается в пределах (1/25
1/35) l. Ширина панелей, как правило, согласуется с размерами листов обшивок, в соответствии с требованиями ГОСТов на материалы.
|
|
|
При расчёте панелей со сплошным срединным слоем рекомендуются следующие формулы:
· для проверки прочности растянутой обшивки
, (13) где M – максимальный момент от действия внешних нагрузок;
- момент сопротивления сечения (для симметричного сечения), (14)
σw - напряжения, возникающие от влияния влажностных условий эксплуатации;
σt - напряжения, возникающие от влияния изменений температурных условий эксплуатации;
Rр – расчётное сопротивление растяжению материала обшивки;
m0 – коэффициент, учитывающий ослабления сечения отверстиями.
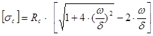
· для проверки прочности сжатой обшивки
, (15)
Расчётная схема сплошной плиты и эпюры напряжений в её сечении. 
где
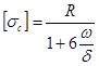
- предельные напряжения сжатия для верхней обшивки, подсчитываются с учётом начальной погиби листов в результате изменений температурно-влажностных условий эксплуатации по формулам:
- если обшивки выполнены из неметаллических материалов:
(16)
- если обшивки выполнены из металлических листов или профилей:
, (17)
где Rс,R – расчётное сопротивление материала обшивки сжатию;
ω – ширина гофра;
δ – толщина обшивки.
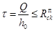
· для проверки прочности срединного слоя:
; (18)
; (19)
, (20)
где Eпр – приведённый модуль упругости материала обшивки, равный Eпр=E/(1-µ2);
µ - коэффициент Пуассона материала обшивок, принимаемый по приложениям 7,8 [7];
E – модуль упругости материала обшивок;
hhh0 – расстояние между центрами тяжести обшивок;
Rпс (Rпр) – расчётное сопротивление сжатию (растяжению) срединного слоя;
Rск - расчётное сопротивление скалыванию срединного слоя;
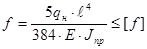
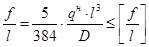
· для проверки прогибов (для случая свободно лежащей балки, загруженной равномерно-распределённой нагрузкой)
|
|
|
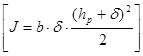
, (21) где
- жёсткость панели (22)
- момент инерции сечения; (23)
- коэффициент, учитывающий податливость срединного слоя, (24)
Gп – модуль сдвига материала срединного слоя;
b – приведённая ширина плиты;
hр – высота;
qн – нормативная линейная равномерно-распределённая нагрузка;
l – расчётная длина панели.
3.4. Расчёт плит и панелей с несущим обрамлением.
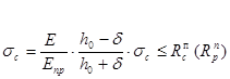
Расчет плит и панелей с несущим обрамлением производят с учетом приведенной ширины впр, при которой нормальные напряжения в обшивке распределяются как бы равномерно (концентрация напряжений происходит в местах прикрепления к ребрам или обрамлению). Рис. 5.

в – фактическая ширина плиты в см.;
k – коэффициент неравномерности, зависящий от материала обшивки и отношения пролета плиты к ее шири-22
не
. Проверку сечения плит осуществляют по формулам:
(25)
(26)
(27) 
Рис. 5. Трёхслойные плиты с несущим обрамлением. 1-пенопласт; 2- гофрированный алюминий; 3- плоский алюминий; 4- алюминиевые уголки; 5- бакелизированная фанера; 6- плоские обшивки из стеклопластика (асбестоцемента); 7- швеллера из стеклопластика (асбестоцемента).
При пустотном среднем слое верхняя сжатая обшивка плит проверяется на местный изгиб под действием сосредоточенного груза Р = 1000 Н с учетом коэффициента надёжности по нагрузке
= 1,2.Действие сосредоточенного груза считают распространенным на ширину полосы вn = 50 см.
Прочность подкрепляющего слоя (среднего слоя пенопласта):
(28)
М - максимальный изгибающий момент от местной нагрузки (кН
см); 
d – толщина подкрепляющего слоя, в см.
толщина обшивки, в см.
Rp – расчетное сопротивление растяжению среднего слоя.
а - расстояние между осями брусков или ребер, в см.
Напряжения в обшивке от местной нагрузки:
(29)