Обратная геодезическая задача: состоит в определении горизонтального проложения и угла направления, если известны координаты исходной и конечной точек на местности.
Обратная геодезическая задача: по координатам начала и конца отрезка прямой найти его длину и направление

Далее вычисляют arctg и находят числовое значение румба. Название румба определяют по знакам приращений координат, от румба переходят к дирекционному углу.
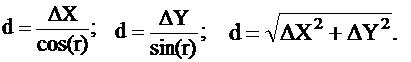
Длина линии может быть найдена по следующим формулам:

Вопрос 24
По каким формулам вычисляют угловую невязку и невязки в приращениях координат теодолитного хода. Как вычисляют поправки.






