
Для вычисления ∑βтеор. найдем дирекционные углы всех сторон хода:




\
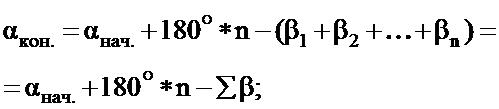
где αнач. и αкон. – дирекционные углы сторон опорной сети, тогда:

Подсчет допустимой невязки и ее распределение производится так же, как и для замкнутого хода.

Для вычисления ∑βтеор. найдем дирекционные углы всех сторон хода:




\
где αнач. и αкон. – дирекционные углы сторон опорной сети, тогда:

Подсчет допустимой невязки и ее распределение производится так же, как и для замкнутого хода.
|
|