Определение допустимости невязок и их распределения производится так же, как для замкнутого теодолитного хода.


Для диагонального хода, например


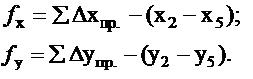
_ КОНТРОЛЬ: Сумма исправленных преращений координат дожна быть равна их теоретической сумме.
По исправленным значениям приращений координат вычисляются координаты всех точек хода по формулам:

Как вычисляют поправки:
Вычисление поправок за центрировку и редукцию.
Если при измерении горизонтальных направлений теодолит был установлен не над центром знака, то в измеренные направления вводят исправления, называемые поправками за центрировку. Их величину подсчитывают по формуле:
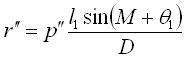
где l — линейный элемент центрировк и — расстояние между проекциями на горизонтальную плоскость вертикальной оси теодолита и центра знака;
— угловой элемент центрировки, измеряемый с точностью до 15—30' от направления на центр знака по ходу часовой стрелки до направления на начальный пункт; М — направления на наблюдаемые пункты, измеренные и приведенные к общему нулю; D — расстояние в метрах до наблюдаемого пункта (расстояния D определяют предварительным вычислением сторон треугольников по схемам, вычисления производят по внецентренно измеренным углам и пользуются четырехзначными таблицами); р" = =206 265"; lg p" = 5.3144.
В направления М вводят поправки, приведенные к начальному направлению. Их величину определяют по формуле

При наблюдении на визирные цилиндры (барабаны наземных знаков триангуляции), у которых проекция оси S отклоняется от центра знака на величину li, в измеренные направления вводят поправки за редукцию. Их величину подсчитывают по формуле

где li — линейный элемент редукции — расстояние между проекциями центра знака и оси визирной цели;
— угловой элемент редукции, отсчитываемый по ходу часовой стрелки от направления на центр знака до начального направления; D — расстояние до наблюдаемого пункта; М — измеренное направление на пункте, с которого вычисляют поправки за редукцию.
Поправки за центрировку и редукцию вводят в результаты измерений в тех случаях, когда линейный элемент центрировки l или редукции l1 превышает 1: 20 000 от длины наименьшей стороны до определяемого пункта.






