В итоге проведенных расчетов необходимо дать сводку технико-экономических показателей ТЭЦ, характеризующих эффективность ее эксплуатации и строительства. Часть показателей выписывается из курсового проекта, а часть рассчитывается по известным из теоретических курсов формулам.
При расчете планового расхода энергии на собственные нужды станции принимаем:
· 0,9 – коэффициент, учитывающий расход электроэнергии на с.н. и потери;
· 0,97 – КПД тепловых сетей;
· b н – нормативный удельный расход топлива на отпущенный кВтч; рассчитывается по топливным характеристикам с учетом фактической выработки и отпуска электроэнергии.
Таблицу ТЭП ТЭЦ (таблица 10.1) заполняется следующим образом:
В 1-ю строку мы заносим значение
262 МВт;
Во 2-ю оборудование 2-го варианта;
В 3-ю заносим плановое значение
5078 часов;
фактический показатель
часов (см. п.10, п/п 12);
4-я: Удельные капиталовложения
д.е./кВт (см. п.5);
5-я: Значения
(см. п.9)
(см. п.6.3);
6-я: Основные фонды
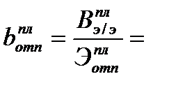
Фо =1393800 тыс.д.е. (в год)
7-я: Оборотные фонды
Фоб =27500 тыс.д.е.
|
|
|
8-я: Фонд зарплаты
;
9-я: Отпуск тепла
843
Гкал/год (см. п. 4).
10-я: Удельный расход топлива на отпущенное тепло
, (см. п. 6);
11-я: КПД ТЭЦ по отпуску тепла определим по формуле:
,
.
12-я: Годовые издержки на теплоэнергию (таблица 8.1)
139,036
д.е.
13-я: Себестоимость отпущенной теплоэнергии
160,941 д.е./Гкал (таблица 8.1);
160,941д.е./Гкал.
14-я: Плановая выработка электроэнергии
1130,49
кВтч в год.
Фактическая выработка электроэнергии с учетом -5%:
=1263,966
кВтч в год (п.1).
15-я: Плановый отпуск электроэнергии определяется с учетом 10% планового расхода на собственные нужды станции и потери:
кВтч.
Фактический отпуск электроэнергии определяется с учетом отклонения в -5 % от планового (п.1):
кВтч.
16-я: Плановый расход на собственные нужды

Фактический расход электроэнергии на собственные нужды можно определить как
кВтч,
в %-м соотношении имеем
.
17-я: Удельный плановый расход топлива на выработанный 1 кВтч
г.у.т./кВтч.
г.у.т./кВтч.
18-я: Плановый удельный расход на отпуск электроэнергии найдем как отношению годового расхода топлива на выработку электроэнергии к плановому количеству отпущенной энергии.
г.у.т./кВтч.
По заданному отклонению (п.1) найдем фактическое значение
г.у.т./кВтч.
19-я: Нормативный удельный расход топлива рассчитывается по топливным характеристикам и по фактическому показателю отпущенной электроэнергии
г.у.т./кВтч.
20-я: К.П.Д. ТЭЦ по отпуску электроэнергии определим по формуле


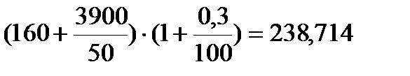
21-я: В цену 1-й тонны топлива входят плата за доставку и потери.
д.е./т.у.т.
фактический показатель с учетом поправки на изменение цены топлива 0% (п.1)
д.е./ т.у.т.
22-я: Плановые затраты на топливо (Таблица 7.4)
|
|
|

Фактические затраты на топливо
д.е.
23-я: Плановые постоянные затраты (таблица 8.1)
д.е.
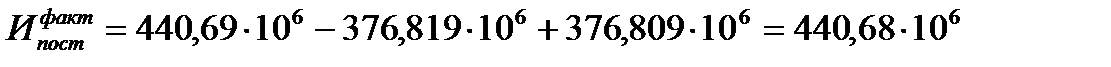
фактические постоянные затраты
д.е. (см. п. 24).
д.е.
24-я: Годовые издержки на э/э:
д.е., (таблица 8.1)
д.е. (см. п. 24).
25-я: Затраты на топливо, отнесенные на отпуск э/э
д.е., (таблица 8.1);
д.е.
26-я: Постоянные расходы, отнесенные на отпуск э/э (таблица 8.1)
д.е.;
По заданному отклонению (п.1) найдем фактическое значение
д.е.
27-я: Себестоимость отпущенного 1 кВт.ч.
д.е./1кВт.ч;.
д.е./1кВт.ч.
28-я: Топливная составляющая
д.е./1кВт.ч.;
д.е./1кВт.ч.
29-я: Постоянная составляющая
д.е./1кВт.ч.;
д.е./1кВт.ч.
30-я: Прибыль балансовая
д.е./год(п.9);

где:
,
,
,
.

31-я: Рентные платежи
Т.к. 

32-я: Расчетная прибыль



33-я: Налог на прибыль
,
34-я: Чистая прибыль:
35-я: Фонд материального поощрения (40% от чистой прибыли) [1, с.36]
д.е./год;
- определится после анализа хозяйственной деятельности.
36-я: Показатель фондоотдачи – это отношение годовой продукции (П) (выручки от реализации) к среднегодовой стоимости основных фондов [2, с.73]






37-я: Оборачиваемость оборотных средств отношение выручки от реализации к сумме оборотных средств [2, с.84]


38-я: Длительность оборота в днях – это время, в течение которого оборотные средства совершают полный кругооборот, т.е. проходят период производства и период обращения и определяется по формуле [2, с.85]


Где Т – период времени, год
39-я: Производительность труда
тыс.д.е./чел
тыс.д.е./чел
40-я: Фондовооруженность показывает, как вооружен персонал технически и определяется по формуле [2, с.74]:

41-я: Фондоемкость – это обратная величина фондоотдачи, определяется по следующей формуле [2, с.74]:


42-я: Рентабельность производственных фондов
, (п.9);

(п.9);

Таблица 10.1 – Технико-экономические показатели ТЭЦ
| № | Показатели | Ед. измерения | План | Факт | Отклонения |
| Установленная мощность ТЭЦ | МВт | ||||
| Состав оборудования (количество и тип турбин) | 1 шт.ПТ-12-90, 2 шт.ПТ-25-90, 2 шт. К-100-90, | ||||
| Число часов работы установленной мощности станции | час/год | 4824,3 | -253,7 | ||
| Удельные капиталовложения на 1 кВт установленной мощности | д.е./кВт | ||||
| Численность персонала | |||||
| - всего | чел. | ||||
| - эксплуатационного | чел. | 419,2 | 419,2 | ||
| Основные фонды | тыс. д.е. | ||||
| Оборотные фонды | тыс. д.е. | ||||
| Фонд зарплаты | тыс. д.е. | ||||
| Отпуск тепловой энергии | Гкал | ||||
| Удельный расход топлива на отпущенное тепло | кгу.т./Гкал | 179,6 | 179,6 | ||
| К.п.д. ТЭЦ по отпуску тепла | % | 79,54 | 79,54 | ||
| Годовые издержки на теплоэнергию | тыс. у.д.е. | ||||
| Себестоимость отпущенной Гкал | д.е./Гкал | 160,941 | 160,941 | ||
| Выработка электроэнергии | млн. кВт.ч | 1330,49 | 1263,966 | -5% | |
| Отпуск электроэнергии. Эотп. | млн. кВт.ч | 1197,441 | 1137,569 | -5% | |
| Расход электроэнергии на с. н. | млн. кВт.ч | 133,049 | 126,397 | -6,652 | |
| % | 0% | ||||
| Удельный расход топлива на выработанный 1 кВт.ч | гу.т./кВт.ч | 395,45 | 396,59 | 1,14 | |
| Удельный расход топлива на отпущенный 1 кВт.ч | гу.т./кВт.ч | 439,39 | 429,39 | -10 | |
| Нормативный удельный расход топлива, bн | гу.т./кВт.ч | 462,51 | |||
| К.п.д. ТЭЦ по отпуску электроэнергии | % | 27,99 | 28,65 | 0,66 | |
| Цена 1 т.у.т. Цm | д.е./т.у.т. | 238,714 | 238,714 | ||
| Затраты на топливо | тыс. д.е. | 329,998 | 329,998 | ||
| Постоянные затраты | тыс. д.е. | -10 | |||
| Годовые издержки на электроэнергию | тыс. д.е. | -18258 | |||
| Затраты на топливо, отнесенные на отпуск электроэнергии Итэ | тыс. д.е. | -18248 | |||
| Постоянные расходы, отнесенные на отпуск электроэнергии, Иэпост | тыс. д.е. | -10 | |||
Себестоимость отпущенного 1кВт.ч, | д.е./1кВт.ч | 0,528 | 0,539 | 0,011 | |
В т. ч.: топливная составляющая, | д.е./1кВт.ч | 0,213 | 0,208 | -0,005 | |
Постоянная составляющая, | д.е./1кВт.ч | 0,315 | 0,331 | 0,016 | |
| Прибыль балансовая | тыс. д.е./год | -36536 | |||
| Рентные платежи Н1 | тыс. д.е. | ||||
| Расчетная прибыль | тыс. д.е. | -29198 | |||
| Налог на прибыль Н2 | тыс. д.е. | -5846 | |||
| Чистая прибыль | тыс. д.е. | -30690 | |||
| Фонд материального поощрения | тыс. д.е./год | -18,994 | |||
| Фондоотдача основных средств | отн.ед. | 1,107 | 1,079 | -0,028 | |
| Оборачиваемость оборотных средств | раз/год | 56,09 | 54,7 | -1,39 | |
| Длительность 1 оборота | дн | 6,5 | 6,7 | 0,2 | |
| Производительность труда | тыс. д.е./чел | 1962,5 | 1913,9 | -48,6 | |
| Фондовооруженность | тыс. д.е./чел | 1773,3 | 1773,3 | ||
| Фондоемкость | отн.ед | 0,9 | 0,93 | 0,03 | |
| Рентабельность производственных фондов: - по общей прибыли; - по чистой прибыли. | % % | 13,26 8,81 | 12,6 8,26 | -0,66 -0,55 |
|
|
|