ГОСТ 1284.1—89, ГОСТ 20889—88, ТУ 38—40534—75
| Обозначение сечений ремней | Вращающий момент Т1р, Нм | Минимальный диаметр ведущего шкива d1min, мм | Количество ремней z, шт. | Размер, мм | Площадь поперечного сечения S, мм2 | |||||
| Вр | В | Нр | Н | |||||||
| Нормальные сечения: О(Z) А(А) Б(В) В(С) Г(D) | <30 15...60 50...150 120...600 450...2400 | 2...4 2...4 2...4 2...5 2...5 | 8,5 11,0 14,0 19,0 27,0 | 2,5 3,3 4,2 5,7 8,1 | ||||||
| Узкие сечения: УО УА УБ УВ | <150 90...400 300...2000 >1500 | 2...4 2...4 2...5 2...5 | 8,5 11,0 14,0 19,0 | 2,0 2,8 3,5 4,8 | ||||||
3.1.2. Минимально допустимый диаметр ведущего шкива d 1, мм, в зависимости от вращающего момента на валу двигателя Т1р = Тдв и выбранного сечения ремня:
d 1 = f (Р 1р, n 1) (рис. 3.1.2, б; 3.1.3, б)
Задать расчетный диаметр ведущего шкива d 1.
d 1 ≥ d 1min; d 1min (табл. 3.1.1).
В целях повышения срока службы ремней рекомендуется применять ведущие шкивы с диаметром d 1 на 1...2 порядка выше из стандартного ряда (ГОСТ 20889—88):..., 40, 45, 50, 63, 71, 80, 90, 100, 112, 125, 140, 160, 180, 200, 224, 250, 280, 315, 355, 400, 450, 500, 560, 630, 710, 800, 900, 1000,...
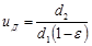
3.1.3. Диаметр ведомого шкива d'2, мм:
d'2 = d 1 u( 1 — ε),
где ε = (0,015…0,020) — коэффициент упругого скольжения.
Расчетный диаметр (мм) d2 ≤ d'2 (первый меньший из стандартного ряда).
3.1.4. Действительное передаточное отношение проектируемой передачи u д:
.
Проверить отклонение действительного передаточного отношения ∆u от заданного u:
.
Если изменилось u передачи, необходимо уточнить передаточное число последующей рассчитываемой ступени привода и значения n и Т (табл. 1.4.5).
3.1.5. Межосевое расстояние выбирается в интервале:
— минимальное межосевое расстояние а' min, мм:
а' min = 0,55 (d 1 + d 2) + Н р,
где Н р — высота сечения клинового ремня (табл. 3.1.1);
максимальное межосевое расстояние а' mах, мм:
а' mах = 2 (d 1 + d 2).
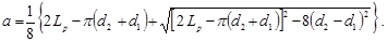
3.1.6. Расчетная длина ремня L'p, мм:
.
Действительная длина ремня Lp ≥ L'p (мм) округляется до ближайшего стандартного значения из ряда (ГОСТ 1284.1—89): 400, 450, 500, 560, 630, 710, 800, 900, 1000, 1120, 1250, 1400, 1600, 1800, 2000, 2240, 2500, 2800, 3150, 3550, 4000, 4500, 5000,...
3.1.7. Действительное межосевое расстояние а, мм:

При монтаже передачи необходимо обеспечить возможность уменьшения а на 0,01 L для того, чтобы облегчить надевание ремня на шкив; для увеличения натяжения ремней необходимо предусмотреть возможность увеличения а на 0,025 L.
3.1.8. Угол обхвата ремнем меньшего шкива α°1, град.:
.
Угол α°1 должен быть ≥ 120°.
Значение коэффициента, учитывающего влияние угла обхвата на ведущем шкиве:
(или табл. 2.1.1).
Таблица 2.1.1
Значения поправочных коэффициентов с
| Коэффициент динамичности нагрузки и длительности работы ср | |||||||||||||||||||
| Характер нагрузки ср | Спокойная 1,0 | С умеренными колебаниями 0,9 | Со значительными колебаниями 0,8 | Ударная и резко неравномерная 0,7 | |||||||||||||||
| Примеры | Передачи к ленточным транспортерам, токарным, шлифовальным и фрезерным станкам | Пластинчатые транспортеры, поршневые компрессоры, галтовочные барабаны и пр. | Транспортеры скребковые и винтовые, реверсивные приводы, мешалки и пр. | Молоты, дробилки, экскаваторы и пр. | |||||||||||||||
| Примечание. При двухсменной работе ср следует понижать на 0,1; при трехсменной — на 0,2 | |||||||||||||||||||
| Коэффициент угла обхвата α°1 на меньшем шкиве сα | |||||||||||||||||||
| Угол обхвата α1, град. | |||||||||||||||||||
| сα | для плоских ремней | 0,97 | 0,94 | 0,91 | ― | ― | ― | ||||||||||||
| для клиновых ремней | 0,98 | 0,95 | 0,92 | 0,89 | 0,86 | 0,83 | |||||||||||||
| Коэффициент влияния натяжения от центробежной силы сV | |||||||||||||||||||
| Скорость ремня V, м/с | |||||||||||||||||||
| сV | для плоских ремней | 1,04 | 1,03 | 0,95 | 0,88 | 0,79 | 0,68 | ||||||||||||
| для клиновых ремней | 1,05 | 1,04 | 0,94 | 0,85 | 0,74 | 0,6 | |||||||||||||
| Коэффициент угла наклона линии центров шкивов к горизонту сθ | |||||||||||
| Открытая передача с натяжением ремня за счет ее упругости при угле наклона межосевой линии к горизонту | Передача с автоматическим натяжением ремня | ||||||||||
| Угол наклона θ, град | 0°…60° | 60°…80° | 80°…90° | ||||||||
| сθ | 1,0 | 0,9 | 0,8 | 1,0 | |||||||
| Коэффициент влияния отношения расчетной длины ремня Lp к базовой Lо | |||||||||||
| Отношение Lp/ Lо | 0,4 | 0,6 | 0,8 | 1,2 | 1,4 | ||||||
| сL | для клинового ремня нормального сечения | 0,82 | 0,89 | 0,95 | 1,04 | 1,07 | |||||
| для клинового узкого ремня | 0,85 | 0,91 | 0,96 | 1,03 | 1,06 | ||||||
| Коэффициент числа ремней клиноременной передачи сz | |||||||||||
| Ожидаемое число ремней z | 2…3 | 4…5 | |||||||||
| сz | 0,95 | 0,90 | 0,85 | ||||||||
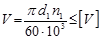
3.1.9. Скорость ремня V, м/с:
,
где d1 и n1 = пдв соответственно диаметр ведущего шкива (см. п. 3.1.2) и частота его вращения (см. табл. 1.4.5); [ V ] = 30 м/с — допускаемая скорость.
3.1.10. Число пробегов ремня ν, с‾¹:
ν = V/ Lp ≤ [ ν ].
[ ν ] ≤ 30,0 с‾¹ — допускаемая частота пробегов.
3.1.11. Число ремней передачи z, шт:
,
где Р о — мощность, передаваемая одним ремнем, кВт.
Р о = f (сечения ремня, d 1, V) (табл. 3.1.2);
сz — коэффициент, учитывающий число ремней в передаче. cz = f (z) (табл. 2.1.1). Предварительно можно принять сz = 1,0, а потом уточнить;
сL = f (Lp, сечения ремня)- коэффициент, учитывающий длину ремня (табл. 2.1.1);
ср — коэффициент динамичности нагрузки и длительности работы (табл. 2.1.1);
z — целое число (табл. 3.1.1). При z > z рекомендуемого увеличить d 1 или принять большее сечение ремня.
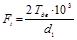
3.1.12. Сила, нагружающая валы передачи F оп, Н:
F оп = 2 F о sin (α°1 /2),
где F о = 0,5 Ft /φ — предварительное натяжения ремня, Н;
— окружное усилие, Н;
φ = (0,45…0,55) — коэффициент тяги.
Для передач с периодическим контролем натяжения ремня:
F max = 1,3 Fоп.
Силы натяжения ведущей F 1 и ведомой F 2 ветвей ремня, Н:
F 1 = F о + F t / 2; F 2 = F о – F t / 2.
Таблица 3.1.2
Номинальная мощность Р0, передаваемая одним клиновым ремнем
| Тип ремня | Сечение L0, мм | Диаметр меньшего шкива d1, мм | Скорость ремня V, м/с | |||||
| Клиновой | О | 0,33 0,37 0,43 0,49 0,51 0,54 | 0,49 0,56 0,62 0,67 0,75 0,80 | 0,82 0,95 1,07 1,16 1,25 1,33 | 1,03 1,22 1,41 1,56 1,69 1,79 | 1,11 1,37 1,60 1,73 1,94 2,11 | — 1,40 1,65 1,90 2,11 2,28 | |
| А | 0,71 0,72 0,74 0,80 0,87 0,97 | 0,84 0,95 1,05 1,15 1,26 1,37 | 1,39 1,60 1,82 2,00 2,17 2,34 | 1,75 2,07 2,39 2,66 2,91 3,20 | 1,88 2,31 2,74 3,10 3,42 3,78 | — 2,29 2,82 3,27 3,67 4,11 | ||
| Б | 0,95 1,04 1,16 1,28 1,40 1,55 | 1,39 1,61 1,83 2,01 2,10 2,21 | 2,26 2,70 3,15 3,51 3,73 4,00 | 2,80 3,45 4,13 4,66 4,95 5,29 | — 3,83 4,73 5,44 5,95 6,57 | — — 4,88 5,76 6,32 7,00 |
| Узкий клиновой | УО | 0,68 0,78 0,90 0,92 1,07 1,15 1,22 | 0,95 1,18 1,38 1,55 1,66 1,80 1,90 | 1,50 1,95 2,34 2,65 2,92 3,20 3,40 | 1,80 2,46 3,06 3,57 3,95 4,35 4,70 | 1,85 2,73 3,50 4,20 4,72 5,25 5,70 | — 2,65 3,66 4,50, 5,20 5,85 6,42 | |
| УА | 1,08 1,26 1,41 1,53 1,72 1,84 | 1,56 1,89 2,17 2,41 2,64 2,88 | 2,57 3,15 3,72 4,23 4,70 5,17 | — 4,04 4,88 5,67 6,30 7,03 | — 4,46 5,61 6,00 7,56 8,54 | — — 5,84 7,12 8,25 9,51 | ||
| УБ | 1,96 2,24 2,46 2,64 2,81 | 2,95 3,45 3,80 4,12 4,26 | 5,00 5,98 6,70 7,30 7,88 | 6,37 7,88 9,05 10,0 10,7 | — 9,10 10,6 11,9 13,0 | — 9,49 11,4 13,1 14,6 |






