3.2.1. Прочность ремня по максимальным напряжениям в сечении ведущей ветви σ max, Н/мм²:
σ max = σ 1 + σ и + σ v ≤ [ σ ]p,
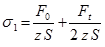
где: а) σ 1 — напряжение растяжения, Н/мм²;
— в клиновом ремне.
Значения F t (Н), F о (Н) — из расчета, S (мм²) из табл. 3.1.1;
б) σи — напряжение изгиба, Н/мм²;
— в клиновом ремне.
Здесь Еи = 80…100 Н/мм² — модуль продольной упругости при изгибе для прорезиненных ремней, Нр — высота сечения клинового ремня (табл. 3.1.1);
в) σ v = ρ V ² 10 ˉ⁶ — напряжение от центробежных сил, Н/м.
Здесь ρ — плотность материала ремня, кг/м³; ρ = 1250…1400 кг/м³ — для клиновых ремней; V, м/с— из расчета;
г) [ σ ]p— допускаемое напряжение растяжения, Н/мм²:
[σ]p = 10 Н/мм ² — для клиновых ремней.
Если получится σ max > [σ]p, то следует увеличить диаметр d1 ведущего шкива или принять большее сечение ремня и повторить расчет передачи.
3.2.2. Полученные в результате расчета параметры представить в виде таблицы 3.2.1.
Таблица 3.2.1






