Возможные погрешности в значениях элементов счисления, угла дрейфа, поправок компаса и лага, а также погрешности графических построений на карте, постепенно накапливаясь, приводят к тому, что действительное место судна не совпадает с нанесенным на карту. Штурман должен уметь произвести оценку точности графического счисления. Будем считать, что все погрешности малы, тогда их можно разбить на две группы:
- погрешности, допущенные при определении пути судна,
- погрешности, допущенные при расчете пройденного расстояния.
На рис. 6.25 показано перемещение судна из точки А в точку В. Погрешности первой группы вызовут смещение на величину b, погрешности второй группы вызовут смещение на величину а. Величины а и b будут являться средними квадратичными продольными и поперечными погрешностями счисления, так как они вызваны средними и квадратичными погрешностями mпу, m∆л и ms. Зная значения а и b, можно вычислить величину Мс — среднюю квадратичную погрешность счисления. При больших разностях а и b площадь возможного нахождения места судна будет характеризоваться эллипсом с полуосями а и b, который можно от руки описать вокруг фигуры CDEF.
В общем виде значение b равно:

где mпу—средняя квадратичная погрешность путевого угла, град.
При отсутствии дрейфа и течения m = mк—средней квадратичной погрешности курса. Для гирокомпаса mк = 1...1,5°. При учете дрейфа эта погрешность квадратически складывается со средней квадратичной погрешностью в учете дрейфа α, которая может достигать значения α/3. При наличии течения средняя квадратичная погрешность в учете угла сноса от течения mβ =f(V, mv, p, vт) и может достигать нескольких градусов. Целесообразно учитывать ее максимальное значение. Величина α зависит от погрешностей в принятом значении поправки лага, а также от погрешностей в пройденном расстоянии, вызванных неучетом течения или учетом недостоверного течения.
Можно написать, что

Для случая, когда течение отсутствует, формула для Мс будет иметь вид


Среднее значение скорости неизвестного течения принимается равным: при плавании в районах со значительными приливо-отливными течениями 0,5... 1,0уз; в районах открытого моря, где, по данным пособий, течение отсутствует, 0,3...0,5уз; в прибрежной зоне 0,2...0,3 уз; ветровое течение обычно не превышает 0,3 уз.
На основании многолетних наблюдений получены следующие приближенные значения радиуса Мс для нормальных условий плавания в зависимости от пройденного расстояния: без ветра и течения MC = 0.02S; с учетом дрейфа Мс = 0.03S; с учетом дрейфа и течения Мс = (0,03...0,07)S.
При плавании переменными курсами решение задачи по оценке точности счислимого места в конечной точке сводится к расчету М для каждого курса и их квадратичного суммирования (рис. 6.26):

где Мк — средняя квадратичная погрешность счисления в конечной точке; М1, М2, Мi — средние квадратичные погрешности на каждом курсе.
Единственной независимой переменной при оценке точности счисления надо считать время, а все другие параметры, определяющие точность счисления, — его случайными функциями.
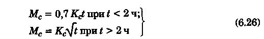
Если в течение ряда рейсов по одному маршруту собрать данные о невязках и по ним построить график точности счисления в зависимости от времени (рис. 6.27), то осреднение всех полученных точек позволит получить согласную кривую, близкую к параболе и описываемую уравнениями


При вычислении Кc нельзя использовать невязки, полученные при недостаточно достоверных определениях места судна.
Коэффициент счисления может быть предвычислен априорно по формуле

Если после длительного перехода потребуется рассмотреть возможность прохода какого-либо пролива по счислению, необходимо проложить три вероятных линии курса: из двух точек окружности Мк (см, рис. 6.26) и точки D. До получения надежной обсервации следует вести такую «тройную» прокладку, причем для получения вероятности Р = 99,0%, соответствующей предельной погрешности, следует взять Мк, увеличенную в 3 раза
Рассмотренные формулы для оценки точности не могут гарантировать надежность результата, они позволяют штурману только ориентировочно оценить возможные погрешности счисления. Поэтому следует периодически осуществлять контроль счисления, используя для этого все имеющиеся в распоряжении судоводителя средства.
В зависимости от допустимой погрешности счислимого места для конкретных условий плавания можно рассчитать необходимую периодичность выполнения обсерваций:
