-
увеличением объема жидкости при увеличении температуры;
+
относительное изменение объема жидкости при изменении температуры при постоянном давлении;
-
увеличение объема жидкости при понижении температуры при изменяющемся давлении;
-
увеличение объема при уменьшении давления при постоянной температуре.
Температурное расширение жидкости характеризуется
-
коэффициентом объемного сжатия;
-
коэффициентом объемного расширения;
+
коэффициентом температурного расширения;
-
коэффициентом Вейсбаха.
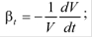
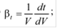
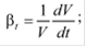
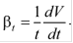
Коэффициент температурного расширения определяется по формуле
-

-

+

-







