Отверстие большого моста – расстояние в свету (за вычетом промежуточных опор) между конусами подходов по урезу воды при РУВВ.
А) Мост наименьшей длины.
Пойма пересыпается насыпями на подходах полностью. Ширина русла под мостом = бытовой: Врм = Врс.
Lmin= Врм=Врб(1-
)
-отношение ширины опоры к длине пролета, учитывает стеснение потока опорами.
Для таких условий:

(1) примет вид
(2)
Где Q=Qп+Qр – общий расход в расчетный паводок
Qрб- расход в паводок.
Если мах глубина в паводок
полученная по (2), не превышает допустимой глубины после размыва по условию заложения опор, геологии и требования судоходства, то Lmin= Врм.
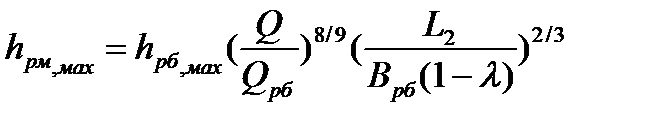
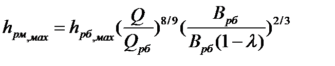
Б) Мост с уширенным руслом.
Для уменьшения глубины после размыва необходимо часть расхода пропустить по пойме, пересыпая их частично. Поймы под мостом могут быть размыты водным потоком или срезаны механизмами. Русло под мостом уширится. Отверстие L2 назначим такой длины, чтобы глубина после размыва была допускаемой. Уравнение (1) примет вид:
, возведем в степень 2/3

Врм= L2
Проверим, размыта ли пойма, по условию
(3).


Если условие (3) выполнено или срезка целесообразна, то вариант отверстия моста L2 с ушириным руслом принимается. В противном случае рассматривают вариант с сохранением пойменных участков под мостом.
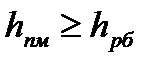
Т.к. поймы под мостом не размываются и не срезаются, то Врм=Врб. Примем глубину в русле под мостом
равной допустимой.



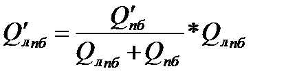
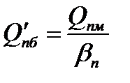
Расход на пойме под мостом Qпм=Q-Qрм. Вычислим расход, который проходил через непересыпающую часть поймы в бытовых условиях:
;
-коэф. перегрузки поймы. 

Строим эпюру элементарных расходов бытовых условиях, также кривую накопления расходов вдоль живого сечения.
Начиная от бровки русла на этой кривой находим значения ординаты
и
, ширину непересыпающей части левой и правой поймы. Тогда отверстие
L3=Врб+Влпм+Вппм.
24. Автобусные остановки. Элементы. Расположение.
Автобусные остановки предназначены для перераспределения пассажиропотоков, посадки – высадки пассажиров и стоянки автобусов, размещения зала ожидания.
Они проектируются в населенных пунктах, вне населенных пунктов они располагаются у перекрестков на расстоянии видимости по первой схеме за перекрестком.
При соответствующем обосновании допускается устройство остановок только с одной стороны.
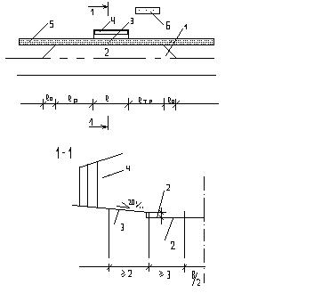
Типовой ген план имеет вид:
1 – переходно- скоростные полосы;
2 – площадка для стоянки автобуса >10 м;
3 – площадка для высадки пассажиров;
4 – павильон для пассажиров;
5 – тротуар до перекрестка или до перехода;
6 – туалеты.
В населенных пунктах могут проектироваться автовокзалы, которые включают комплекс административных зданий, площадки посадки – высадки пассажиров и технической стоянки. Автовокзалы проектируются в соответствии с ген планом города, т.е. по специальным проектам.






