Рабочие-строители различаются по профессии и квалификации. Профессия рабочих определяется видом выполняемых ими работ (монтажник, каменщик, бетонщик, арматурщик, кровельщик, штукатур, маляр и т. д.). Специальность – понятие более узкое, чем профессия. Например, машинист по профессии может иметь специальность машиниста экскаватора, крана, трактора и т. д. Квалификация рабочего характеризуется его знаниями, опытом, степенью сложности и трудности работ, которые он в состоянии выполнять. Каждому рабочему присваивается разряд: чем выше квалификация, тем выше разряд.
Строительные процессы, как правило, выполняют звенья или бригады рабочих. В состав звена входят 2-5 рабочих одной профессии разной квалификации. Бригада состоит из большего числа рабочих, чем звено, или из нескольких звеньев. Бригады, состоящие из рабочих одной профессии (обычно 15-20 человек), называют специализированными. Бригады, в которые входят рабочие разных профессий, создаваемые для выполнения сложных процессов или нескольких взаимосвязанных процессов, – комплексными. Во главе бригады стоит бригадир – наиболее квалифицированный рабочий.
|
|
|
Необходимая численность бригады определяют следующим образом:
(1.1)
где Тр. – нормативная трудоемкость (норма затрат труда) работы, чел.· ч;
Дл. – срок выполнения работы, дней (смен);
С – средний процент выполнения норм выработки;
8 – продолжительность рабочей смены, час.
Нормативная трудоемкость процесса (норма затрат труда) – затраты труда, установленные на выполнение продукции рабочими соответствующей профессии и квалификации, работающими при правильной организации труда и производства.
(1.2)
где V – общий объем работ;
Нвр . – норма времени, которая устанавливает необходимые затраты рабочего времени или времени работы машины для изготовления единицы строительной продукции;
И – количество измерителей на норму времени.
Нормы времени приведены в федеральных, местных или корпоративных нормативах.
Нормы времени приводятся на принятую единицу измерения, или на несколько таких единиц (10, 100, 1000,...).
Трудоемкость работ подсчитывают обычно в таблицах следующей формы.
| №№ п/п | Наименование работ, ед. изм. | Объем | Наим. норматива | Норма времени | Трудоемкость | Звено | ||
| Чел*час | Маш*час | Чел*час | Маш*час | |||||
И еще о некоторых основных понятиях.
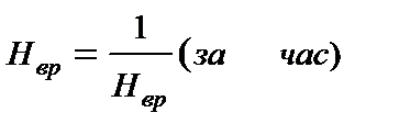
Нормой выработки называется то количество продукции, которое должно быть выработано рабочим или звеном рабочих в единицу времени (за смену или за час работы). Это величина обратная норме времени:
; (1.3)
; (1.4)
При повышении норм выработки процент снижения норм времени (продолжительности выполнения работ) определяется по формуле:
|
|
|
; (1.5)
где С – снижение нормы времени, %;
П - повышение нормы выработки, %.
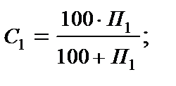
При снижении норм выработки процент повышения норм времени вычисляется по формуле:
(1.6)
где П1 – повышение норм времени, %;
С1 – снижение нормы выработки, %.
При повышении норм времени процент снижения норм выработки находится по формуле:
(1.7)
При снижении нормы времени процент повышения норм выработки:
(1.8)
Производительность труда определяется количеством доброкачественной продукции, вырабатываемой рабочим в единицу времени. Расчет потребного количества труда для строительства, а иногда и оценку уровня производительности труда осуществляют на основе производственных норм – времени и выработки.
Рабочим местом в строительном процессе называют пространство, в пределах которого находятся и перемещаются рабочие, материалы, машины и приспособления, участвующие в строительном процессе. Так, рабочее место в процессе кладки стен включает участок стены, возводимой звеном рабочих, с частью подмостей, в пределах которых работают и перемещаются каменщик с подручными. Захватками называют часть здания или сооружения, характеризуемую примерно равной трудоемкостью, перечнем и количеством (объемом) строительных процессов и соответственно одинаковой продолжительностью их выполнения.
Фронтом работы называют участок строительного объекта, отводимый бригаде (звену) для выполнения какого-либо строительного процесса. Размеры этого участка должны быть достаточными для рационального размещения бригады рабочих, машин, инструментов, строительного инвентаря, материалов. Фронтом работы бригады обычно является захватка, а для звена – делянка – часть фронта бригады, отводимая для работы звену. Зона, в пределах которой возводится часть здания или сооружения с рабочего места на одной высоте, без использования средств подмащивания называют ярусом.
Фронт работ должен соответствовать объему выполняемых работ в смену и обеспечивать выполнение рабочим сменной или, в крайнем случае, полусменной нормы. Размер делянки, захватки, фронта работ определяют в физических единицах измерения выполняемой работы и подсчитывают по производственным нормам.






