Уравнение данной модели имеет вид:
.
Для оценивания параметров модели проводят замену переменных:
.
Получим уравнение множественной линейной регрессии:
.
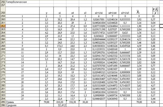
Для построения уравнения используем данные таблицы (рисунок 4.7):

Рисунок 4.7 – Исходные данные для построения гиперболической модели
Результаты регрессионного анализа представлены на рисунке 4.8.

Рисунок 4.8 - Результат применения инструмента Регрессия
Получено уравнение множественной линейной регрессии:
.
Оценивая параметры данного уравнения, замечаем, что статистически значимым является параметр при X1, (об этом свидетельствует величина р – значение из рисунка 4.8) следовательно, целесообразно строить уравнение гиперболической регрессии только с данным фактором. В результате получаем равнение следующего вида:
(рисунок 4.9).

Рисунок 4.9 - Результат применения инструмента Регрессия
Следовательно, получим уравнение регрессии:
.
Подставляя в данное уравнение фактические значения x1, получаем теоретические значения результата
(рисунок 4.7 графа 9). По ним рассчитаем показатели:
|
|
|
- индекс корреляции составит (рисунок 4.9):
- связь между признаками средняя;
- средняя ошибка аппроксимации (рисунок 4.7, графа 10)
;
- F-критерий
(рисунок 4.9).
Данная модель также статистически значима и имеет удовлетворительное качество.
;