Разность
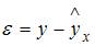
2. Величина
называется …
Случайной составляющей
3. В эконометрической модели уравнения регрессии величина отклонения фактического значения зависимой переменной от ее расчетного значения характеризует …
Ошибку модели
4. Известно, что доля объясненной дисперсии в общей дисперсии равна 0,2. Тогда значение коэффициента детерминации составляет …
0,2
5. При методе наименьших квадратов параметры уравнения парной линейной регрессии
определяются из условия ______ остатков
.
Минимизации суммы квадратов
Тема 6: Предпосылки МНК, методы их проверки
1. Для обнаружения автокорреляции в остатках используется …
Статистика Дарбина – Уотсона






