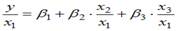
5. Пусть y – издержки производства,
– объем продукции,
– основные производственные фонды,
– численность работников. Известно, что в уравнении
дисперсии остатков пропорциональны квадрату объема продукции
.Применим обобщенный метод наименьших квадратов, поделив обе части уравнения на
После применения обобщенного метода наименьших квадратов новая модель приняла вид
. Тогда параметр
в новом уравнении характеризует среднее изменение затрат на единицу продукции при увеличении …
фондоемкости продукции при неизменном уровне трудоемкости продукции
Тема 9: Оценка тесноты связи
1. Для эконометрической модели вида
показателем тесноты связи между переменными
и
является парный коэффициент линейной …






