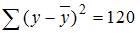
4. Если общая сумма квадратов отклонений
, и остаточная сумма квадратов отклонений
, то сумма квадратов отклонений, объясненная регрессией, равна …
Тема 11: Проверка статистической значимости эконометрической модели
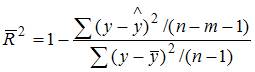
1. При расчете скорректированного коэффициента множественной детерминации пользуются формулой
, где …
n – число наблюдений; m – число факторов, включенных в модель множественной регрессии
2. Если известно уравнение множественной регрессии
построенное по результатам 50 наблюдений, для которого общая сумма квадратов отклонений равна 153, и остаточная сумма квадратов отклонений равна 3, то значение F-статистики равно …
766,67
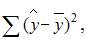
3. Для регрессионной модели известны следующие величины дисперсий:
где y – значение зависимой переменной по исходным данным;
– значение зависимой переменной, вычисленное по регрессионной модели;
– среднее значение зависимой переменной, определенное по исходным статистическим данным. Для указанных дисперсий справедливо равенство …

Тема 12: Оценка значимости параметров эконометрической модели
1. Для уравнения множественной регрессии вида
на основании 14 наблюдений рассчитаны оценки параметров и записана модель:
(в скобках указаны значения t -статистики, соответствующие параметрам регрессии). Известны критические значения Стьюдента для различных уровней значимости
При уровне значимости 0,1 значимыми являются параметры …

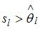
2. Если для среднеквадратической ошибки
параметра и значения оценки этого параметра
линейной эконометрической модели выполняется соотношение
, то это свидетельствует о статистической ______ параметра.






