Построена матрица парных коэффициентов корреляции
Свободный член уравнения в естественной форме равен … (Полученный ответ округлите до сотых.)
Решение:
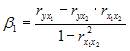
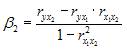
Сначала найдем уравнение регрессии в стандартизированном виде. Будем считать х1 – доход, х2 – имущество. Коэффициенты парной корреляции известны и равны
,
,
.
Расчет стандартизированных коэффициентов выполним по формулам
=
=
0,7236;
=
=
-0,4467.
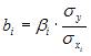
Для построения уравнения в естественной форме воспользуемся формулой
.
Итак,
;
По формуле
рассчитаем свободный член уравнения в естественной форме.
= 3,7083 - 0,11 · 40 - (-0,03)·48,0833=0,75.
3. В таблице представлены данные по субъектам федерации Центрального федерального округа, за исключением Москвы. Области упорядочены по возрастанию независимой переменной х – объему кредитов, предоставленных предприятиям, организациям, банкам и физическим лицам.
По данной выборке построено уравнение регрессии y = 3151,1 + 8,8487 · x. Коэффициент детерминации R2 = 0,9708.
Средняя ошибка аппроксимации по уравнению регрессии, построенному по всей выборке, равна ____ %. (Полученное значение округлите до целых.) 36






