Рассмотрим одноканальную систему обслуживания с отказом,
т. е. если поступает заявка на обслуживание, а устройство занято, то заявка получает отказ в обслуживании. Граф системы (рис. 2.5) имеет два состояния S0 – устройство свободно и S1 – устройство занято. Пусть интенсивность входящего потока равна λ (количество заявок в ед. времени), а интенсивность обслуживания равна µ.
| l |
| m |
| S0 |
| S1 |
Рис. 2.5. Граф одноканальной системы без очереди
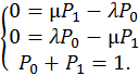
Для изображённого графа система уравнений Эрланга имеет вид:

Из неё находим: 
Основные характеристики системы M/M/1:
вероятность отказа Pотк = Р1 = λ / (λ + µ);
вероятность обслуживания Робс = 1 – Pотк = µ / (λ+µ).






