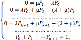
Рассмотрим теперь случай, когда устройство одноканальное, но если оно занято, то заявка не получает отказ, а становится в очередь к устройству. Очередь имеет длину не более n мест. Соответственно, граф состояний (см. рис. 2.6) будет иметь n + 1 вершину: состояние S0 – устройство свободно; S1 – устройство занято, нет очереди; S2 – устройство занято, 1 в очереди; Sn+1 – устройство занято, n заявок в очереди.
| Sn |
| Sn+11 |
| l |
| l |
| m |
| m |
| m |
| m |
| l |
| l |
| S0 |
| S1 |
| S2 |
Рис. 2.6. Граф одноканальной системы с очередью
Для такого графа система Эрланга имеет вид:

Из неё последовательно выражая все Рk через Р0 и подставляя в последнее нормировочное уравнение, имеем:

Основные характеристики системы M/M/1 / n:
вероятность отказа Pотк = Рn+1 = (λ/µ)n+1P0;
вероятность обслуживания (относительная пропускная способность) Q = Робс=1 – Pотк;
абсолютная пропускная способность А = λQ;
среднее число мест в очереди N = P2 + 2P3 + 3P4 +…nPn+1.
Многоканальные системы с отказами
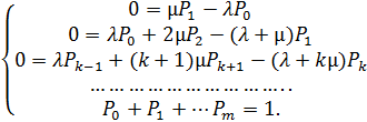
Рассмотрим случай, когда устройство многоканальное, количество каналов равно m. Если все каналы заняты, то заявка получает отказ. Граф состояний будет иметь m + 1 вершину (см. рис. 2.7): состояние S0 – устройство свободно; S1 – один канал занят; S2 – два канала занято; Sm – m каналов занято.
|
|
|
| Sm |
| l |
| mm |
| 2m |
| m |
| l |
| l |
| S0 |
| S1 |
| S2 |
Рис. 2.7. Граф одноканальной системы с очередью
Обратите внимание, что интенсивность выходящих потоков кратна µ, например, при переходе из состояния S2 в состояние S1 интенсивность потока равна 2µ, т. к. если были заняты два канала, а затем стал занят один, то неизвестно какой из них освободился: µ + µ = 2µ.
Для этого графа построим систему уравнений Эрланга:

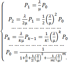
Выражаем все Рk через Р0 и подставляем в последнее нормировочное уравнение:

Основные характеристики системы M/M/m:
вероятность отказа Pотк = Рm = 1/m! (λ/µ)mP0;
вероятность обслуживания Q =Робс=1– Pотк;
абсолютная пропускная способность А= λQ;
среднее количество занятых каналов К = P1 + 2P2 + 3P3 +…mPm.
Количество каналов можно вычислить проще, зная соотношение
А = µК: среднее число заявок, обслуженных в единицу времени, равно произведению средней производительности одного канала на среднее число занятых каналов.






