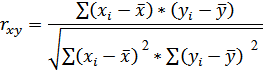
На основании таблицы вычислить линейный коэффициент парной корреляции.

=
=0,1488
Вывод: Так как линейный коэффициент парной корреляции
=0,1488,
отсюда следует, что между признаками X и Y наблюдается слабая прямая линейная зависимость.
Проверить значимость коэффициента парной регрессии.
Для оценки статистической значимости линейного коэффициента парной корреляции
применяется t-критерий Стьюдента. Согласно t-критерию выдвигается гипотеза
о случайной природе показателей, т. е. о незначимом их отличии от нуля. Далее рассчитываются фактические значения критерия
для оцениваемого коэффициента корреляции
путем сопоставления их значений с величиной стандартной ошибки:
= 
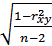
Стандартная ошибка коэффициента корреляции определяются по формуле:
1.
= 
=
=0,1526
2.
=
=0,9751
(0,05;42)=2,0180
Вывод: Фактическое значение сравниваем с табличным критическим значением:
tнабл > tкрит , то
не отклоняется, то есть признаётся случайная природа формирования
. Коэффициент признаётся незначимым.






