Средняя ошибка аппроксимации – среднее отклонение расчетных значений от фактических:
1. Вычислим среднюю ошибку аппроксимации для линейного уравнения:
0,9%
2. Вычислим среднюю ошибку аппроксимации для параболического уравнения:
=119%
Вывод: Так как построенное уравнение регрессии считается удовлетворительным, если значение A не превышает 10–12 %, то линейное уравнение считается удовлетворительным, а параболическое уравнение признаётся неудовлетворительным. Уравнение линейной регрессии лучшее уравнение, так как у него наименьшая ошибка аппроксимации.
9.Построить интервальный прогноз для значения х (Республика Коми) для линейного уравнения:
Интервальный прогноз заключается в построении доверительного интервала прогноза, т. е. нижней и верхней границ уpmin, уpmax интервала, содержащего точную величину для прогнозного значения ŷp
Доверительный интервал всегда определяется с заданной вероятностью (степенью уверенности), соответствующей принятому значению уровня значимости α.
|
|
|
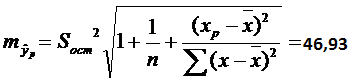
1. Вычислим стандартную ошибку прогноза. 
S2ост =
, где
= 
2. Построим доверительный интервал прогноза (определим верхнюю и нижнюю границу интервала прогноза).



Вывод: Интервальный прогноз заключается в построении доверительного интервала прогноза, который показывает диапазон изменения для прогнозного значения
. Доверительный интервал определяется с вероятностью 0,95. (13,59<
<171,65).
9. Определить средний коэффициент эластичности:
Коэффициент эластичности показывает на сколько процентов изменится
результат у при изменении фактора х на 1 % от своего номинального значения.
Средний коэффициент эластичности рассчитывается по следующей формуле:

Отсюда, средний коэффициент эластичности для линейной регрессии равен:
= 0,2963
Вывод: Так как средний коэффициент эластичности равен 29,63%, отсюда следует, что результат у в среднем по совокупности изменится на 29,63% при изменении фактора х на 1%.






