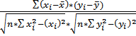
1.Индекс парной корреляции для уравнения парной регрессии:

2. Индекс парной корреляции для уравнения квадратичной параболы:
=0,0002+0,7160*x+6,6709* 
Заменим
на
.
= 
=
=0,0033
Вывод: Так как значение индекса корреляции находятся в пределах:
отсюда следует, что связь рассматриваемых признаков слабая.
6.Проверить значимость уравнения регрессии:
Оценка статистической значимости уравнения регрессии в целом осуществляется с помощью F -критерия Фишера.
F-критерий Фишера заключается в проверке гипотезы
о статистиче-
ской незначимости уравнения регрессии. Для этого выполняется сравнение
фактического
и критического (табличного)
значений F-критерия
Фишера.
1. Выдвигаем нулевую гипотезу H0 о статистической незначимости уравнения регрессии.
2. Рассчитываем фактическое значение F-критерия:

n- число единиц совокупности
m-число параметров при переменных(для линейной регрессии m = 1)
=0,9989
3. Фактическое значение сравниваем с критическим табличным:
Fфакт= 0,9989
Fкрит= 3,8 при α = 0,05
Вывод:Fфакт<Fкрит, поэтому Н0 не отклоняется и признается статистическая незначимость, ненадежность уравнения регрессии.
4. Для параболического уравнения регрессии Fфакт = 3,739
Fкрит = 4,067, при α = 0,05.
Вывод:Fфакт < Fкрит , гипотеза Но принимается, параболическое уравнение регрессии - не значимо.