Перед началом поиска решения, преобразуйте функцию к виду f(x)=0 и постройте график для наглядности
Решить уравнения для своего варианта при помощи циклических ссылок и подбора параметра (число p в Excel - ПИ()):
| № варианта (компьютера) | Уравнение | A | B |
| Tg(x) = 1/x | p/2 | ||
| Ln(x) = 1/x | |||
| e-x = x | |||
| Ln(x) = 1/ x2 | |||
| e-x = x | |||
| |||
| 2 +Ln(x) = 1/x | |||
| x - x3 + 1 = 0 | |||
| x + 3 = x3 | |||
| x + x3 - 5 = 0 | |||
| 2×x + x5 - 1 = 0 | |||
| 1 - x2 - x1,5 =0 | |||
| x +0,5 = e-x | |||
| 1 - x + x3 = 0 | -2 | ||
| 1 + x = x3 | |||
| Sin(x) = x/3 | p/2 | p | |
| Tg(x) = 1/x | 1,6 | 4,5 | |
| Ln(x) = e-x | |||
| Lg(x) = 10-x | |||
| Cos(x) = 1/x | p/2 | ||
| Cos(x) = Ln(1+x) | p/2 | ||
| Cos(x) = x2 | p/2 | ||
| 1 - 3×x + x3 = 0 | |||
| 1 - 3×x + x4 = 0 | |||
| 1 - 3×x + x5 = 0 | |||
| Tg(x) = 1/x2 | p/2 | ||
| Ln(x) = Sin(x) | |||
| e-x = Sin(x) | p/2 | ||
| ex = 1/Sin(x) | p/2 | ||
| e-x = x2 | |||
| 2 + Ln(x) = 1/x2 | |||
| Ln(x) = Sin2(x) | p/2 | ||
| x - x3 + 2 = 0 | |||
| x + 5 = x3 | |||
| x - 0,5 = x8 | 0,5 | ||
| x - 1 = x0,15 | |||
| 1 - x2 = x4/3 | |||
| x + 0,5 = e-x | |||
| 2 - x + x3 = 0 | -2 | ||
| Sin(x) = 1/x | p/2 | ||
| Sin(x) = x/2 | p/2 | p | |
| Ln(x) = e-x | |||
| Lg(x) = e-x | |||
| Cos(x) = x | p/2 | ||
| Cos(x) = Ln(x) | p/2 | ||
| Cos(x) = Tg(x) | p/2 | ||
| Cos(x) = x3 | p/2 | ||
| 1 - 5×x + x3 = 0 | |||
| 1 - 5×x + x4 = 0 | |||
| 1 - 3×x + x5 = 0 |
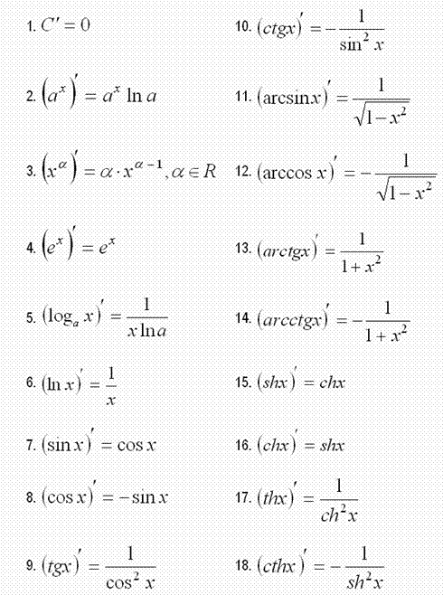
Производные для справки:
|
|
|







