Болтовое соединение, распространённый тип резьбового соединения болтом и гайкой. Обычно в отверстие соединяемых деталей болт вставляется с зазором, и соединение осуществляется затяжкой гайки, что создаёт давление между деталями, препятствующее их расхождению (раскрытию стыка) под действием осевых сил (Р) и относительному сдвигу под действием поперечных сил (Q), благодаря возникающему между деталями трению. Реже болт плотно входит в отверстие соединяемых деталей и препятствует относительному их сдвигу под действием поперечных сил, работая на срез; в этом случае стержень болта и отверстие детали обрабатываются с высокой точностью и при той же поперечной силе болт получается тоньше.

Болт поставлен с зазором и нагружен растягивающим моментом и крутящим моментом.
Такое болтовое соединение находится в сложном напряжённо-деформационом сопряжении (растяжение с кручением). Для такого болтового соединения принимается 4 теория прочности.
Эквивалентное напряжение в стержне болта=
|
|
|

где k =1,3 – расчетный коэффициент, учитывающий напряжение кручения в стержне болта.
σ допускаемое напряжение, tкр напряжение кручения
В результате замены сложного напряжения состояния эквивалентным напряжением разрыва, расчёт ведётся по упрощённой формуле:
d>=корень квадратный із (1,3*4F3)/(π[σ]р)
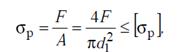
Болт поставлен без зазора, свободно и находится под действием растягивающей нагрузки.
Требуется составить условие прочности и определить диаметр болта
Условие прочности по напряжению растяжения стержня имеет вид
Диаметр болта = d1>=√(4F/ π[σ]р)