Инвестиции – вложение финансовых средств с целью получения выгоды
Виды инвестиций:
- инвестиции в финансовую среду(акции, облигации, др.ЦБ – биржа)
- в промышленность(новый бизнес или реконструкция действующего бизнеса)
Предположим, что у фирмы имеется возможность, за счет внедрения новой технологии повысить качество второй продукции. Стоимость затрат, связанных с приобретением и внедрением новой технологии (единовременные капиталовложения) обозначим через
. Повышение качества второй продукции позволяет реализовать ее по цене на 10% выше прогнозной. Необходимо оценить эффективность данного инвестиционного проекта, с учетом того, что срок реализации проекта равен пяти годам.
Инвестиционный проект считается эффективным или привлекательным, если показатель чистого дисконтированного дохода (NPV) на конец срока реализации проекта больше нуля. Чистый дисконтированный доход определяется следующим образом:
где
– дисконтированный доход в i -том году рассчитывается как:
|
|
|
Здесь
– дополнительный доход на конец i -ого года;
– норма дисконта.
Дi=Д0(1+
)^i
Дополнительный доход в i -том году определяется следующим образом:
Где
обозначены оптимальные объемы производства первой и второй продукции, после увеличения цены на вторую продукцию.
Увеличение цены на вторую продукцию на 10%, не приведет к изменению оптимальной производственной программы. То есть
.
Тогда окончательная формула для расчета 
Срок окупаемости определяется моментом, когда накопленные дисконтированные дополнительные доходы сравняются с К и, следовательно, чистый дисконтированный доход будет равен нулю.
Показатели:
- NPV
- Ток
- ВНД=
max, при которой NPV=0
- 

Альфа=0,2

20. Моделирование двухуровневой орг.системы(детерминированный вариант)
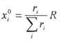
Рассмотрим организационную систему, состоящую из Центра и «л» производственных элементов (ПЭ).
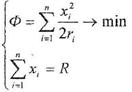
Каждый производственный элемент характеризуется показателем эффективности ri, и функцией затрат zi. Показатель ri характеризует эффективность работы i — го производственного элемента. Он определяется условием автоматизации, механизации, применением ресурсосберегающих технологий, организации производства и т.д. Примем далее, что затраты i - го производственного элемента описываются следующей моделью:
zi=x2i/2ri, где х, - объем работ, выполненный i - ым производственным элементом.
Перед Центром стоит задача распределения между производственными элементами работ в объеме R таким образом, чтобы затраты всей системы были минимальны. То есть центр решает следующую оптимизационную задачу:
Если Центру известны реальные значения показателей эффективности ri(случай определенности),то решением задачи является закон пропорционального распределения:
|
|
|







