Эффективность менеджмента

Социальная эффективность проявляется в …

    улучшении условий труда и быта работников
      улучшении состояния окружающей среды
      более эффективном использовании кадрового потенциала
      повышении производительности труда

Если по итогам года чистая прибыль предприятия составила 900 тыс. руб., затраты на управление составили 1500 тыс. руб., а выручка от реализации продукции составила 30000 тыс. руб., то коэффициент экономической эффективности аппарата управления будет равен …

    0,6
      0,028
      0,03
      0,031

При расчете точки безубыточности выполняется условие:

    прибыль равна нулю
      прибыль принимает максимальное значение
      издержки принимают минимальное значение
      объем продаж принимает максимальное значение

Решение:
Точка безубыточности, рассчитанная в рамках анализа безубыточности, является дополнительным показателем эффективности деятельности организации. Анализ безубыточности сводится к определению порога рентабельности, ниже которого фирма терпит убытки, а выше которого получает прибыль. Таким образом, точка безубыточности представляет собой такой объем продаж, при котором затраты на производство равны выручке от реализации продукции, а прибыль равна нулю.

Экономическая эффективность менеджмента организации в общем виде рассчитывается как отношение экономического эффекта по результатам управления к …

    затратам на управленческий труд
      затратам на производство продукции
      выручке от реализации продукции
      стоимости имущества

Если годовые постоянные издержки на производство продукции составили 5000 тыс. руб., удельные переменные издержки на единицу продукции равны 400 руб., а цена единицы продукции составила 800 руб., то точка безубыточности в шт. будет равна …

     
       
       
       

Если по итогам отчетного года чистая прибыль предприятия составила 25000 тыс. руб., стоимость выпущенной продукции составила 165500 тыс. руб., а численность работников, занятых на предприятии – 150 чел., то показатель производительности труда в тыс. руб./чел. будет равен …

    1103,3
      166,6
      936,6
       

Решение:
На уровне отдельных предприятий в различных отраслях экономики используются разнообразные группы показателей экономической эффективности менеджмента. Эффективность менеджмента представляет собой соотношение результата и затрат, необходимых для его получения. На каждом предприятии оценивается экономическая эффективность использования материалов, основных производственных фондов и оборотных средств, инвестиций и трудовых ресурсов, а также рассчитывается обобщающий показатель, характеризующий экономическую эффективность работы предприятия в целом.
Важнейшим показателем, характеризующим экономическую эффективность персонала, является производительность труда. На уровне предприятия (организации) в целом показатель производительности труда может быть исчислен как отношение объема произведенной продукции к численности работников, занятых на предприятии.

Экологическая эффективность проявляется в …

    эффективном использовании природно-сырьевых ресурсов
      улучшении условий труда и быта работников
      увеличении стоимости человеческого капитала
      повышении эффективности деятельности организации

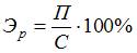
Если по итогам года чистая прибыль предприятия равна 3500 тыс. руб., затраты на управление 2700 тыс. руб., а общие затраты на производство и реализацию продукции 45000 тыс. руб., то эффективность работы предприятия составит _________ %.

    7,77
       
      13,77
      1,77

Решение:
Обобщающим показателем, позволяющим оценить эффективность работы предприятия в целом в условиях рынка, является рентабельность. Рентабельность позволяет соотнести полученную прибыль с издержками. Расчетная рентабельность (Эр) исчисляется обычно по формуле: , где П – расчетная (чистая) прибыль, остающаяся в распоряжении организации; С – издержки, связанные с созданием и пополнением основных и оборотных средств. Рентабельность качественно характеризует работу предприятия (организации) и отражает сопоставление прибыли со всеми затратами.






Подборка статей по вашей теме: