Данный метод справедлив только для линейных электрических цепей и является особенно эффективным, когда требуется вычислить токи для различных значений ЭДС и токов источников в то время, как сопротивления схемы остаются неизменными.
Данный метод основан на принципе наложения (суперпозиции), который формулируется следующим образом: ток в k – й ветви линейной электрической цепи равен алгебраической сумме токов, вызываемых каждым из источников в отдельности.
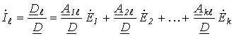
Аналитически принцип наложения для цепи, содержащей n источников ЭДС и m источников тока, выражается соотношением
.
| (1) |
Здесь
- комплекс входной проводимости k – й ветви, численно равный отношению тока к ЭДС в этой ветви при равных нулю ЭДС в остальных ветвях;
- комплекс взаимной проводимости k – й и i– й ветвей, численно равный отношению тока в k – й ветви и ЭДС в i– й ветви при равных нулю ЭДС в остальных ветвях.
Входные и взаимные проводимости можно определить экспериментально или аналитически, используя их указанную смысловую трактовку, при этом
, что непосредственно вытекает из свойства взаимности (см. ниже).
Аналогично определяются коэффициенты передачи тока
, которые в отличие от проводимостей являются величинами безразмерными.
Доказательство принципа наложения можно осуществить на основе метода контурных токов.
Если решить систему уравнений, составленных по методу контурных токов, относительно любого контурного тока, например
, то получим
,
| (2) |
где
- определитель системы уравнений, составленный по методу контурных токов;
- алгебраическое дополнение определителя
.
Каждая из ЭДС в (2) представляет собой алгебраическую сумму ЭДС в ветвях i–го контура. Если теперь все контурные ЭДС в (2) заменить алгебраическими суммами ЭДС в соответствующих ветвях, то после группировки слагаемых получится выражение для контурного тока
в виде алгебраической суммы составляющих токов, вызванных каждой из ЭДС ветвей в отдельности. Поскольку систему независимых контуров всегда можно выбрать так, что рассматриваемая h-я ветвь войдет только в один
-й контур, т.е. контурный ток
будет равен действительному току
h-й ветви, то принцип наложения справедлив для токов
любых ветвей и, следовательно, справедливость принципа наложения доказана.
Таким образом, при определении токов ветвей при помощи метода наложения следует поочередно оставлять в схеме по одному источнику, заменяя остальные их внутренними сопротивлениями, и рассчитать составляющие искомых токов в этих схемах. После этого
полученные результаты для соответствующих ветвей суммируются – это и будут искомые токи в ветвях исходной цепи.
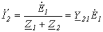
В качестве примера использования метода наложения определим ток во второй ветви схемы на рис. 1,а.

Принимая источники в цепи на рис. 1,а идеальными и учитывая, что у идеального источника ЭДС внутреннее сопротивление равно нулю, а у идеального источника тока – бесконечности, в соответствии с методом наложения приходим к расчетным схемам на рис. 1,б…1,г.
В этих цепях
;
;
,
где
;
;
.
Таким образом,
.
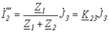
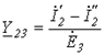
В качестве другого примера использования метода определим взаимные проводимости
и
в цепи на рис. 2, если при переводе ключа в положение 1 токи в первой и второй ветвях соответственно равны
и
, а при переводе в положение 2 -
и
.
Учитывая, что в структуре пассивного четырехполюсника не содержится источников энергии, на основании принципа наложения для состояния ключа в положении “1” можно записать
;
| (3) |
.
| (4) |
При переводе ключа в положение “2” имеем
;
| (5) |
..
| (6) |
Тогда, вычитая из уравнения (3) соотношение (5), а из (4)-(6), получим
;
,
откуда искомые проводимости
;
.
.
,
;
.
;
..






