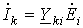
Принцип взаимности основан на теореме взаимности, которую сформулируем без доказательства: для линейной цепи ток
в k – й ветви, вызванной единственной в схеме ЭДС
, находящейся в i – й ветви,

будет равен току
в i – й ветви, вызванному ЭДС
, численно равной ЭДС
, находящейся в k – й ветви,
.
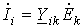
Отсюда в частности вытекает указанное выше соотношение
.
Иными словами, основанный на теореме взаимности принцип взаимности гласит: если ЭДС
, действуя в некоторой ветви схемы, не содержащей других источников, вызывает в другой ветви ток
(см. рис. 3,а), то принесенная в эту ветвь ЭДС
вызовет в первой ветви такой же ток
(см. рис. 3,б).

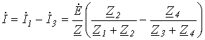
В качестве примера использования данного принципа рассмотрим цепь на рис. 4,а, в которой требуется определить ток
, вызываемый источником ЭДС
.

Перенесение источника ЭДС
в диагональ моста, где требуется найти ток, трансформирует исходную схему в цепь с последовательно-параллельным соединением на рис. 4,б. В этой цепи
,
| (7) |
где
.
В соответствии с принципом взаимности ток
в цепи на рис. 4,а равен току, определяемому соотношением (7).
,






