Метод эквивалентного генератора, основанный на теореме об активном двухполюснике (называемой также теоремой Гельмгольца-Тевенена), позволяет достаточно просто определить ток в одной (представляющей интерес при анализе) ветви сложной линейной схемы, не находя токи в остальных ветвях. Применение данного метода особенно эффективно, когда требуется определить значения тока в некоторой ветви для различных значений сопротивления в этой ветви в то время, как в остальной схеме сопротивления, а также ЭДС и токи источников постоянны.
Теорема об активном двухполюснике формулируется следующим образом: если активную цепь, к которой присоединена некоторая ветвь, заменить источником с ЭДС, равной напряжению на зажимах разомкнутой ветви, и сопротивлением, равным входному сопротивлению активной цепи, то ток в этой ветви не изменится.
Ход доказательства теоремы иллюстрируют схемы на рис. 1.


Пусть в схеме выделена некоторая ветвь с сопротивлением Z, а вся оставшаяся цепь обозначена как активный двухполюсник А (рис. 1,а). Разомкнем эту ветвь между точками 1 и 2 (рис. 1,б). На зажимах этой ветви имеет место напряжение
. Если теперь между зажимами 1 и 2 включить источник ЭДС
с направлением, указанным на рис. 1,в, то, как и в цепи на рис.1,б ток в ней будет равен нулю. Чтобы схему на рис. 1,в сделать эквивалентной цепи на рис. 1,а, в рассматриваемую ветвь нужно включить еще один источник ЭДС
, компенсирующий действие первого (рис. 1,г). Будем теперь искать ток
по принципу наложения, т.е. как сумму двух составляющих, одна из которых вызывается источниками, входящими в структуру активного двухполюсника, и источником ЭДС
, расположенным между зажимами 1 и 2 слева, а другая – источником ЭДС
, расположенным между зажимами 1 и 2 справа. Но первая из этих составляющих в соответствии с рис. 1,в равна нулю, а значит, ток
определяется второй составляющей, т.е. по схеме на рис. 1,д, в которой активный двухполюсник А заменен пассивным двухполюсником П. Таким образом, теорема доказана.
Указанные в теореме ЭДС и сопротивление можно интерпретировать как соответствующие параметры некоторого эквивалентного исходному активному двухполюснику генератора, откуда и произошло название этого метода.
Таким образом, в соответствии с данной теоремой схему на рис. 2,а, где относительно ветви, ток в которой требуется определить, выделен активный двухполюсник А со структурой любой степени сложности, можно трансформировать в схему на рис. 2,б.
Отсюда ток
находится, как:
, | (1) |
где
- напряжение на разомкнутых зажимах a-b.
Уравнение (1) представляет собой аналитическое выражение метода эквивалентного генератора.
Параметры эквивалентного генератора (активного двухполюсника) могут быть определены экспериментальным или теоретическим путями.
В первом случае, в частности на постоянном токе, в режиме холостого хода активного двухполюсника замеряют напряжение
на его зажимах с помощью вольтметра, которое и равно
. Затем закорачивают зажимы a и b активного двухполюсника с помощью амперметра, который показывает ток
(см. рис. 2,б). Тогда на основании результатов измерений
.
В принципе аналогично находятся параметры активного двухполюсника и при синусоидальном токе; только в этом случае необходимо определить комплексные значения
и
.
При теоретическом определении параметров эквивалентного генератора их расчет осуществляется в два этапа:
1. Любым из известных методов расчета линейных электрических цепей определяют напряжение на зажимах a-b активного двухполюсника при разомкнутой исследуемой ветви.
2. При разомкнутой исследуемой ветви определяется входное сопротивление активного двухполюсника, заменяемого при этом пассивным. Данная замена осуществляется путем устранения из структуры активного двухполюсника всех источников энергии, но при сохранении на их месте их собственных (внутренних) сопротивлений. В случае идеальных источников это соответствует закорачиванию всех источников ЭДС и размыканию всех ветвей с источниками тока.
Сказанное иллюстрируют схемы на рис. 3, где для расчета входного (эквивалентного) сопротивления активного двухполюсника на рис. 3,а последний преобразован в пассивный двухполюсник со структурой на рис. 3,б. Тогда согласно схеме на рис. 3,б

.
В качестве примера использования метода эквивалентного генератора для анализа определим зависимость показаний амперметра в схеме на рис. 4 при изменении сопротивления R переменного резистора в диагонали моста в пределах
. Параметры цепи Е=100 В; R1=R4=40 Ом; R2=R3=60 Ом.

В соответствии с изложенной выше методикой определения параметров активного двухполюсника для нахождения значения
перейдем к схеме на рис. 5, где напряжение
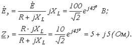
на разомкнутых зажимах 1 и 2 определяет искомую ЭДС
. В данной цепи
.
Для определения входного сопротивления активного двухполюсника трансформируем его в схему на рис. 6.

Со стороны зажимов 1-2 данного пассивного двухполюсника его сопротивление равно:
.
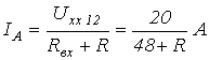
Таким образом, для показания амперметра в схеме на рис. 4 в соответствии с (1) можно записать
. | (2) |
Задаваясь значениями R в пределах его изменения, на основании (2) получаем кривую на рис.7.
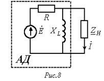
В качестве примера использования метода эквивалентного генератора для анализа цепи при синусоидальном питании определим, при каком значении нагрузочного сопротивления
в цепи на рис. 8 в нем будет выделяться максимальная мощность, и чему она будет равна.
Параметры цепи:
;
.
В соответствии с теоремой об активном двухполюснике обведенная пунктиром на рис. 8 часть схемы заменяется эквивалентным генератором с параметрами

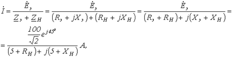
В соответствии с (1) для тока
через
можно записать

откуда для модуля этого тока имеем
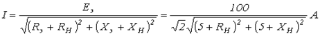
. (3)
Анализ полученного выражения (3) показывает, что ток I, а следовательно, и мощность будут максимальны, если
; откуда
, причем знак “-” показывает, что нагрузка
имеет емкостный характер.
Таким образом,
и
.
Данные соотношения аналогичны соответствующим выражениям в цепи постоянного тока, для которой, как известно, максимальная мощность на нагрузке выделяется в режиме согласованной нагрузки, условие которого
.
Таким образом, искомые значения
и максимальной мощности:
.
,
.