На основании полученного выше соотношения (4), представляющего собой, как было указано, матричную запись закона Ома, запишем матричное выражение:
, | (14) |
где
- диагональная матрица проводимостей ветвей, все члены которой, за исключением элементов главной диагонали, равны нулю.
Матрицы Z и Y взаимно обратны.
Умножив обе части равенства (14) на узловую матрицу А и учитывая первый закон Кирхгофа, согласно которому
, | (15) |
получим:
.. | (16) |
Выражение (16) перепишем, как:
. | (17) |
Принимая потенциал узла, для которого отсутствует строка в матрице А, равным нулю, определим напряжения на зажимах ветвей:
. | (18) |
Тогда получаем матричное уравнение вида:
. | (19) |
Данное уравнение представляет собой узловые уравнения в матричной форме. Если обозначить
| (20) |
, | (21) |
то получим матричную форму записи уравнений, составленных по методу узловых потенциалов:
| (22) |
где
- матрица узловых проводимостей;
- матрица узловых токов.
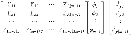
В развернутом виде соотношение (22) можно записать, как:
| (23) |
то есть получили известный из метода узловых потенциалов результат.
Рассмотрим составление узловых уравнений на примере схемы по рис. 4.
| |
Данная схема имеет 3 узла (m=3) и 5 ветвей (n=5). Граф схемы с выбранной ориентацией ветвей представлен на рис. 5.
Узловая матрица (примем
)
| А | |
Диагональная матрица проводимостей ветвей:
| Y | , |
где
.
Матрица узловых проводимостей
| |
.
Матрицы токов и ЭДС источников
| |
| |
..Следовательно, матрица узловых токов будет иметь вид:
| |
.Таким образом, окончательно получаем:
,
где
;
;
;
;
.
Анализ результатов показывает, что полученные уравнения идентичны тем, которые можно записать непосредственно из рассмотрения схемы по известным правилам составления уравнений по методу узловых потенциалов.
,
,
..
.
.
.
,
,






