Для цепи рис. 4 имеем
,
где
;
| (8) |
.
| (9) |
В зависимости от соотношения величин
и
, как и в рассмотренном выше случае последовательного соединения элементов, возможны три различных случая.

В цепи преобладает индуктивность, т.е.
, а следовательно,
. Этому режиму соответствует векторная диаграмма на рис. 5,а.
В цепи преобладает емкость, т.е.
, а значит,
. Этот случай иллюстрирует векторная диаграмма на рис. 5,б.
- случай резонанса токов (рис. 5,в).
Условие резонанса токов
или
.
| (10) |
При этом, как следует из (8) и (9),
. Таким образом, при резонансе токов входная проводимость цепи минимальна, а входное сопротивление, наоборот, максимально. В частности при отсутствии в цепи на рис. 4 резистора R ее входное сопротивление в режиме резонанса стремится к бесконечности, т.е. при резонансе токов ток на входе цепи минимален.
Идентичность соотношений (3) и (5) указывает, что в обоих случаях резонансная частота определяется соотношением (4). Однако не следует использовать выражение (4) для любой резонансной цепи. Оно справедливо только для простейших схем с последовательным или параллельным соединением индуктивного и емкостного элементов.
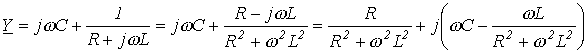
При определении резонансной частоты в цепи произвольной конфигурации или, в общем случае, соотношения параметров схемы в режиме резонанса следует исходить из условия вещественности входного сопротивления (входной проводимости) цепи.
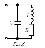
Например, для цепи на рис. 6 имеем

Поскольку в режиме резонанса мнимая часть
должна быть равна нулю, то условие резонанса имеет вид
,
откуда, в частности, находится резонансная частота.
;
.
.






