
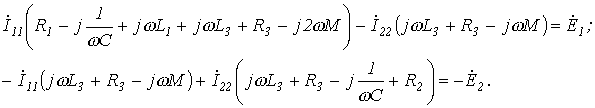
Пусть имеем схему по рис. 4, где А – некоторый активный четырехполюсник. Для данной цепи можно записать
;
.
Обозначим токи
и
как:
;
.
Тогда для комплексов полных мощностей первой и второй ветвей соответственно можно записать:
;
.
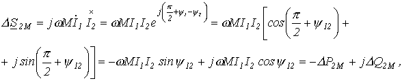
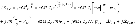
Рассмотрим в этих уравнениях члены со взаимной индуктивностью:
| (14) |
.
| (15) |
где
.
Из (14) и (15) вытекает, что
;
| (16) |
.
| (17) |
Соотношение (16) показывает, что активная мощность передается от первой катушки ко второй. При этом суммарная реактивная мощность, обусловленная взаимной индукцией, равна нулю, т.к.
. Это означает, что на общий баланс активной мощности цепи индуктивно связанные элементы не влияют.
Суммарная реактивная мощность, обусловленная взаимоиндукцией, равна
.
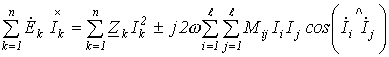
Таким образом, общее уравнение баланса мощностей с учетом индуктивно связанных элементов имеет вид
,
| (18) |
где знак “+” ставится при согласном включении катушек, а “-” – при встречном.
Расчет разветвленных цепей при наличии взаимной индуктивности может быть осуществлен путем составления уравнений по законам Кирхгофа или методом контурных токов. Непосредственное применение метода узловых потенциалов для расчета таких цепей неприемлемо, поскольку в этом случае ток в ветви зависит также от токов других ветвей, которые наводят ЭДС взаимной индукции.
В качестве примера расчета цепей с индуктивно связанными элементами составим контурные уравнения для цепи на рис. 5:

Чтобы обойти указанное выше ограничение в отношении применения метода узловых потенциалов для расчета рассматриваемых схем можно использовать эквивалентные преобразования, которые иллюстрируют схемы на рис. 6, где цепь на рис. 6,б эквивалентна цепи на рис. 6,а. При этом верхние знаки ставятся при согласном включении катушек, а нижние – при встречном.
.
;
.
,






